所屬科目:普通物理與普通化學
1 下圖是一個梯子安全地靠在真實牆壁上的情況。下列那個圖最正確地表示施加在梯子上的力圖?(A)(B)(C)(D)
2 有一條寬度為 360 公尺的河流,河水以流速 4.00 公尺/秒向西方流。若有一艘停靠在北岸的交通船,以相對於河水為 5.00 公尺/秒的速度航行,希望能夠垂直河岸達到正南方的渡口靠岸,則渡河所需的時間為何? (A) 72 秒 (B) 90 秒 (C) 120 秒 (D) 180 秒
3 有一圓形賽道其賽道平面與水平面夾一個固定的角度,選手騎腳踏車以固定速率繞圓形賽道行駛,下列有關此腳踏車的運動,何者正確? (A)物體向心加速度與運動速度方向相同 (B)因為速度量值不變,因此物體加速度為零 (C)腳踏車受到的向心力全部來自車輪與地面的摩擦力 (D)若腳踏車速度增加,則所需要的向心力也相對應增加
4 試求下圖所示 3 個粒子的系統質心(x, y)坐標(以公尺為單位)為何?(A)(0, 0) (B)(1.3, 1.7) (C)(1.4, 1.9) (D)(1.9, 2.5)
5 如下圖所示,一個質量為 20 公斤的物塊距離一個剛性彈簧 3.5 公尺,沿著粗糙的水平面以 5.0 公尺/秒的速度向彈簧移動。彈簧的彈性常數為 k = 500 牛頓/公尺,當物塊撞擊彈簧後,彈簧被壓縮 0.50 公尺。試問物塊與粗糙表面之間的動摩擦係數是多少? (A) 0.24 (B) 0.32 (C) 0.18 (D) 0.54
6 如下圖所示,一個行星繞著恆星 X 運行,其軌道為橢圓形。試問該行星在軌道處不同位置時,行星的加速度大小關係為何?(A)在 N 點達到最大值 (B)在 P 點達到最大值 (C)在 Q 點達到最大值 (D)在 L 點達到最大值
7 金屬橋樑設計時會預留伸縮縫,用以避免高溫變化導致橋體變形或者受損。某一座鋼製橋樑在 25.0℃的時候建造,其總長度恰好為 80.0 公尺,若鋼的膨脹係數α為 1.30 ✖ 10-5/K,下列敘述,何者錯誤? (A)如果伸縮縫預留的空間不足,橋樑可能因為膨脹造成基座給予壓應力 (B)若將橋樑改用線膨脹係數較小的金屬製作,則相同的溫度差造成的膨脹量也較小 (C)夏季約 35.0℃時橋樑的長度大約增加 1 公分 (D)寒冬中若橋樑溫度降低到 5.0℃,橋的總長度縮短大約 4 公分
8 有一台卡諾熱機從高溫處吸收熱量 2000 焦耳,排放到低溫處的熱量為 1200 焦耳,下列敘述,何者正確? (A)熱機效益為 60% (B)提高燃料燃燒的溫度,可以提升熱機效益 (C)增加吸熱或是增加排熱,皆可以提升熱機效益 (D)經過適當的設計,可以將所吸收的熱量完全轉化為熱機做功
9 在室溫下,理想雙原子氣體在恆定壓力下的摩爾熱容量(CP)為何?(A)R (B) 3R/2 (C) 5R/2 (D) 7R/2
10 縱波的位移由以下公式表示:y = 2.0 × 10-2 (m) cos (300x + 10-2t + 8.0)試問此波的波速(單位:公尺/秒)為何? (A)-3.0 × 104 (B)+3.0 × 104 (C)+3.3 × 10-5 (D)-3.3 × 10-5
11 在氣柱共鳴實驗中,如果環境溫度顯著增加,下列敘述,何者正確?(A)聲速不變 (B)基頻的頻率上升 (C)管內駐波長度變短 (D)聲音可能從縱波轉變成橫波
12 下圖所示為包含兩個小帶電球體(Y 和 Z)的空間區域中的電場線。試問下列選項,何者正確?(A) Y 為負值帶電球體,Z 為正值帶電球體 (B)電場的大小在任何地方都相同 (C)電場在區域 Z 和 Y 之間的中間位置最強 (D)如在 X 位置處,放置另一個小負電荷物體,則該物體會向右移動
13 下圖顯示靜止馬蹄形磁鐵兩極之間,放置一靜止正電荷。試問磁場對此正電荷的作用力為何?
(A)作用力方向指向下方 (B)作用力方向指向右方 (C)作用力方向指向左方 (D)作用力大小為零
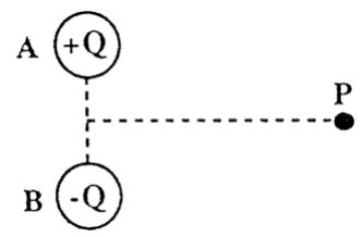
14 正電荷 Q 位於點 A,負電荷–Q 位於點 B。如圖所示,試問在 AB 的垂直平分線上的點 P 處,電場方向為何? (A)↑ (B)↓ (C)→ (D)←
15 一個半徑為 R 的堅固絕緣球體內含有均勻分布的正電荷。試問下列選項,那一圖正確地表示電場(E)與距離(r)的函數圖? (A)(B)(C)(D)
16 兩條平行導線中流過相同電流時,會相互吸引。如果將此兩條導線各自的電流都加倍,試問吸引力的大小變化為何? (A) 2F (B) F/2 (C) F/4 (D) 4F
17 如下圖所示,一條長直導線與一個矩形導電環路位於同一平面上。直導線中流著恆定電流 i,試問該直導線往矩形導電環路平行移動靠近時,則矩形導電環路的電流方向有何變化?(A)為零 (B)順時針方向 (C)逆時針方向 (D)順時針方向在左側,逆時針方向在右側
18 無線充電技術是利用電磁感應原理來進行能量的傳輸,假設有一個無線電充電裝置,發射端為線圈 A,接收端為線圈 B,當發射端 A 中電流發生變化時,接收端 B 中會產生感應電動勢,下列敘述,何者正確? (A)發射端線圈 A 通過直流電流,則接收端 B 線圈會持續接收到感應電動勢,只是訊號較為微弱 (B)降低發射端線圈 A 中的電流變化時變率,可以提升接收端 B 線圈的感應電動勢 (C)增加發射端線圈 A 的匝數,則接收端 B 線圈的感應電動勢增大 (D)兩個線圈距離越遠,B 線圈端的感應電動勢越大
19 有一片長 6.50 公分、寬 0.850 公分的金屬薄片,其厚度為 0.08 公分,此金屬薄片在均勻磁場 4.0×10-3 特斯拉中以速度等速滑過,如圖所示。在 x 與 y 點間量測到 3.20×10-5 伏特的電位差,則速度 v 的量值為何?
(A) 0.064 m/s (B) 0.94 m/s (C) 2.8 m/s (D) 5.2 m/s
20 平行板電容器的電容值大小與以下物理量的關係,下列那一選項正確?(A)與平行板面積成正比 (B)與平行板儲存的電荷量成正比 (C)與平行板之間放置的任何材料無關 (D)與平行板之間的電位差成正比
21 一個帶電的電容器在 40 伏特(V)的電壓下儲存了 10 庫侖(C)的電荷。試問該電容器儲存的電能為何? (A) 400 J (B)4J (C) 0.2 J (D) 200 J
22 在振盪的 LC 電路中,總電路系統儲存的總能量為「U」。當電容器上的電荷 q = qmax/2 時,試問電感內的能量(UL)為何? (A) U/2 (B) U/4 (C) U/ 2 (D) 3U/4
23 將物體放在凹面鏡前方 30 公分處,若凹面鏡的焦距為 10 公分,則成像的位置在何處?(A)凹面鏡前方 20 公分處 (B)凹面鏡前方 15 公分處 (C)凹面鏡前方 7.5 公分處 (D)凹面鏡後方 7.5 公分處
24 想要增加光學顯微鏡的鑑別度,考量雷利準則(Rayleigh criterion),下列何者是可行的方法?(A)在樣品上加磁場 (B)增加照射光的強度 (C)將鏡筒內的空氣抽出 (D)將照射光由紅光換成藍光
25 如下圖所示的壓力計,其兩臂管徑相同且端點皆為開放管徑。試問液體平衡時,油的密度是多少(kg/m3)?
(A) 400 (B) 600 (C) 200 (D) 800
26 下列那一個物質的原子有最大的氧化態?(A) MgS (B) NH4I (C) H2SO4 (D) Al(OH)3
27 A- 是一個弱鹼。下列那一個平衡式代表 HA 的平衡常數 Ka?(A) HA (aq) + H2O (l) ⇌ H2A+ (aq) + OH‒(aq) (B) HA (aq) + H2O (l) ⇌ H3O+ (aq) + A‒ (aq) (C) A‒ (aq) + H3O+ (aq) ⇌ HA (aq) + H2O (l) (D) A‒ (aq) + H2O (l) ⇌ HA (aq) + OH‒ (aq)
28 原子核只占原子中的很小空間,這是如何知道的?(A)用 X 光對金屬得到繞射圖 (B)用 X 光照射在正負電極間看細小油滴的移動速度 (C)用α粒子束打到金片看粒子的散射情形 (D)用陰極射線管看改變電場或磁場對電子束的偏移情形
29 下列關於鍵結之敘述,何者錯誤?(A) SO3 有三個 sp2 的混成軌域 (B) CO2 的鍵結是成一直線的 (C) BeCl2 有 16 個價電子 (D) O2 的電子組態是(σ2s)2(σ2s*)2(σ2p)2(π2p)4(π2p*)4
30 下列的標準還原電位之敘述,何者錯誤?(A)可用維他命 C(ascorbic acid)來生成金奈米粒子 (B)使用不同金試劑會使得形成金粒子時的電位差有所改變 (C)鋰離子電池會有很大的電壓 (D)可先形成銀奈米粒子,再於其外面包一層金殼以獲得核殼結構
31 下列那個離子可形成高自旋和低自旋的錯離子?(A) Cu+ (B) Zn2+ (C) Cr2+ (D) Cr3+
32 下列那個不是溶液的依數性質?(A)水溶液中的反應速度隨溫度上升而增加 (B)將溶質加進溶劑中時其蒸氣壓會下降 (C)增加更多溶質後溶液的滲透壓會增加 (D)將溶質添加到溶劑中後溶液的凝固溫度會降低
33 下列敘述,何者錯誤?(A)對純矽摻雜磷離子可得到 n 型半導體 (B)將 p 型與 n 型半導體連結形成迴路並施加足夠電壓可成為發光二極體 (C)半導體的導電性都是介於導體和絕緣體之間 (D) InN 的能隙較 GaN 的能隙小
34 下列關於熵或熱力學之敘述,何者錯誤?(A)當氯化鈉加到水中會改變水分子的整體運動情形 (B)將奈米粒子與足夠多的界面活性劑加在水裡會使其聚集,所以此系統的整體熵變化應是下降的 (C)水蒸發是一個熵上升的過程 (D)離子沉澱反應的發生主要是來自於晶格能的大幅下降
35 當 Cr2O72‒(aq) + H+(aq) + e‒ → Cr3+(aq) + H2O(l)反應式平衡後,電子轉移的數目是多少?(A)7 (B)6 (C)5 (D)4
36 下列關於鍵結的認知,何者錯誤?(A)冰裡的水分子是經由氫鍵連結 (B)水分子與鈉離子的作用力是取向力 (C)正戊烷分子間的作用力是分散力 (D)矽晶體的原子是由金屬鍵連結
37 下列關於反應動力學之敘述,何者錯誤?(A)一級反應可從 ln[A]t 對時間作圖來確定 (B)如反應不是超快,可隨反應進行收集光譜圖以得知吸收光譜的變化 (C)反應的中間態結構通常可從實驗中得知 (D)有不同溫度下的速率常數 k 就可得出活化能
38 有一學生取了 9.60 M 的硫酸溶液 20.0 mL,請問需要加入多少水稀釋才能形成 0.480 M 的硫酸溶液?(假定體積是相加的) (A) 400 mL (B) 120 mL (C) 240 mL (D) 380 mL
39 已知在定溫度條件下,反應 H2(g) + Br2(g) ⇌ 2HBr(g)的平衡常數為 4.0,則反應 HBr(g) ⇌ (1/2) H2(g) +(1/2) Br2(g)的平衡常數可表示為何? (A) 2.0 (B) 0.5 (C) 16 (D) 4.0
40 為了要增大下列反應的平衡常數值(K) ,可採用下列那個方法達成?2H2(g) + O2(g)⇌ H2O(g) ; ΔH < 0 (A)提高氫氣和氧氣的濃度 (B)下降反應溫度 (C)增加反應系統的壓力 (D)提高反應溫度
41 某特定化學反應的速率表達式為 Rate = k[A][B]3 。如果在相同的反應物 A 的初始濃度下,反應物 B 的初始濃度從 0.2 M 增至 0.6 M,則初始速率會增為多少倍? (A)3倍 (B)6倍 (C)9倍 (D) 27 倍
42 如果 2HBr →H2 + Br2 分解反應是二級反應,下列那項作圖會產生線性圖?(A) ln [HBr] 對 時間 (B) 1/[HBr] 對 時間 (C)[HBr] 對 時間 (D)[HBr]2 對時間
43 有一核分裂反應的半衰期(t1/2)是定值,請問該核分裂反應的反應級次應是多少?(A)0 (B)1 (C)2 (D)3
44 鐵元素在標準狀態下的生成焓(△H°f)為何?(A)氧化鐵與碳原反應的焓 (B)鐵與氧氣反應的焓 (C)由其熔點決定 (D)0
45 1.0 莫耳的氧氣理想氣體在 600 K 等溫條件下,從 4.0 atm 可逆壓縮至 8.0 atm。請計算此過程的亂度變化(△S)值?(氣體常數 R: 8.314 J·K−1·mol−1) (A)–4.16 J/K (B)+16.6 J/K (C)–33.2 J/K (D)–5.76 J/K
46 在 Cr2O72–(aq) + 14H+ (aq) + 6Cl– (aq)→ 2Cr3+(aq) + 3Cl2(g) + 7H2O(l)的反應中,有 a 個電子轉移;在 Cr(s) + NO3–(aq) + 4 H+(aq) →Cr3+(aq) + NO(g) + 2H2O(l)的反應中,有 b 個電子轉移,請計算出 a + b =? (A)6 (B)9 (C) 12 (D) 18
47 在主量子數 n = 4 的所有軌域中可以容納 X 個電子,在主量子數 n = 3,角量子數 l = 1 的所有軌域中可以容納 Y 個電子,請問 X + Y 值是多少? (A)4 (B) 22 (C) 38 (D) 42
48 一個氮原子含有 7 個電子,氮原子在基態中有多少個未成對電子?(A)1 (B)3 (C)5 (D)7
49 下列那一個化學鍵的極性最小?(A) C–F (B) H–Cl (C) H–O (D) H–C
50 請計算 CO32- 和 NO3 - 兩個離子總共有多少個路易士(Lewis)結構?(A)2 (B)4 (C)5 (D)6