所屬科目:流體力學
三、如下圖所示,渠道中設置一閘門,渠道寬度為4 m,上游水深維持在6 m, 下游水深維持在20 cm,假設不計摩擦及能量損失,試求水流作用於該閘 門的力量。
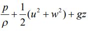
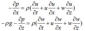
四、二維尤拉方程式(Euler equation)表示如下:其中u與w分別表示在x與z二個方向的速度分量,g為重力加速度,p為壓 力,為流體密度,t為時間。若考慮流場為穩定流(steady)、非旋性 (irrotational)且流體具不可壓縮性,試推導出柏努利方程式(Bernoulli equation)為:= 常數。