所屬科目:技檢◆飛機修護-乙級
38. 下圖流經 3Ω 之電流為(A)8A(B)4A(C)16A(D)12A。
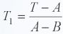
53. 因工作需要在扭力扳手頭上加延長桿配接器,若 A=原來扳手的長度,B=延長桿接頭長度,T=原來的實際扭力值,試問修正後之扭力值 T1,應為(A) (B) (C)(D) 。