所屬科目:國中會考基測◆數學科
1. 圖 ( 一 ) 的坐標平面上有 A、B、C、D 四點。根據圖 ( 一 ) 中各點位置判斷,哪一個點在第二象限? (A) A (B) B (C) C (D) D
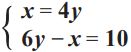
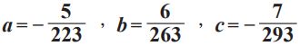
3. 若二元一次聯立方程式的解為 x = a, y = b,則 a + b 之值為何? (A) −15 (B) −3 (C) 5 (D) 25
4. 如圖 ( 二 ) , 矩形 ABCD、 ∆ BDE 中 , A 點在上 。若矩形 ABCD 的面積為20, ∆ BDE 的面積為 24 , 則 ∆ ADE 的面積為何? (A) 10 (B) 12 (C) 14 (D) 16
6. 下列等式何者不成立? (A) (B) (C) (D)
7. 已知纜車從起點行駛到終點需花費 8 分鐘,圖 ( 三 ) 表示行駛過程中纜車的 海拔高度與行駛時間的關係。 根據圖 ( 三 ) 判斷 , 下列敘述何者正確? (A) 終點的海拔高度比起點高 300 公尺,行駛時間的前 4 分鐘都在上升 (B) 終點的海拔高度比起點高 300 公尺,行駛時間的末 4 分鐘都在上升 (C) 終點的海拔高度比起點高 350 公尺,行駛時間的前 4 分鐘都在上升 (D) 終點的海拔高度比起點高 350 公尺,行駛時間的末 4 分鐘都在上升
9. 圖 ( 四 ) 為甲城市 6 月到 9 月外國旅客人數的折線圖 。根據圖 ( 四 ) 判斷 , 哪一個月到甲城市的外國旅客中 , 旅客人數最少的國家是美國? (A) 6 (B) 7 (C) 8 (D) 9
11. 動物園準備了 100 張刮刮樂,打算送給開幕當日的前 100 位遊客每人一張,其中可刮中獎品的刮刮樂共有 32 張,表 ( 一 ) 為獎品的種類及數量。若小柏為開幕當日的第一位遊客,且每張刮刮樂被小柏拿到的機會相等,則小柏刮中玩偶的機率為何? (A) (B) (C) (D)
13. 已知為一等差數列,其中 a1 為正數,且。判斷下列敘述何者正確? (A) (B) (C) (D)
14. 已知, 判斷下列各式之值何者最大? (A)|a + b + c|(B)|a + b − c| (C)|a − b + c| (D)|a − b − c|
15. 已知 ∆ ABC 與 ∆ DEF 全等 , A、B、C 的對應點分別為 D、 E 、F , 且 E 點在上 , B 、F 、 C 、D 四點共線,如圖 ( 五 ) 所示。若 ∠ A= 40° , ∠ CED = 35° , 則下列敘述何者正確? (A) (B)(C) (D)
16. 圖 ( 六 ) 為某超商促銷活動的內容,今阿賢到該超商拿相差 4 元的 2 種飯糰各 1 個結帳時,店員說:「要不要多買 2 瓶指定飲料?搭配促銷活動後 2 組優惠價的金額,只比你買 2 個飯糰的金額多 30 元。」若阿賢只多買 1 瓶指定飲料,且店員會以對消費者最便宜的方式結帳,則與原本只買 2 個飯糰相比, 他要多付多少元? (A) 12 (B) 13 (C) 15 (D) 16
17. 如圖 ( 七 ),梯形 ABCD 中,,有一圓O通過 A 、 B 、 C 三點,且與圓 O 相切於 A 點。若 ∠ B = 58°,則的度數為何? (A) 116 (B) 120 (C) 122 (D) 128
19. 如圖 ( 八 ), ∆ ABC 中, D 、 E 、 F 三點分別在上,且 四邊形 BEFD 是以 為對稱軸的線對稱圖形,四邊形 CFDE 是以為對稱軸的線對稱圖形。若 ∠ C = 40°,則 ∠ DFE 的度數為何? (A) 65 (B) 70 (C) 75 (D) 80
21. 如圖(九),四邊形ABCD中,∠1 、 ∠2、∠3 分別為∠A、 ∠B、∠C的外角。判斷下列大小關係何者正確? (A) ∠1+ ∠3 = ∠ ABC + ∠ D (B) ∠1+ ∠3 < ∠ ABC + ∠ D (C) ∠1+ ∠2+ ∠3 = 360° (D) ∠1+ ∠2+ ∠3> 360°
23. 如圖 ( 十 ),菱形 ABCD 中,E 點在 BC 上,F 點在 CD 上, G 點、 H 點在 AD 上,且 AE // HC // GF。若 AH = 8, HG = 5,GD = 4,則下列選項中的線段,何者 的長度最長? (A) (B) (C) (D)
25. 如圖 ( 十一 ), 銳角三角形 ABC 中,D 點在上,∠ B = ∠ BAD = ∠ CAD。今欲在上找一點 P,使得 ∠ APC = ∠ ADB,以下是甲、乙兩人的作法: ( 甲 ) 作的中垂線交於 P 點,則 P 即為所求 ( 乙 ) 以 C 為圓心,長為半徑畫弧,交於異於 D 點的一點 P,則 P 即為所求 對於甲、乙兩人的作法,下列判斷何者正確? (A) 兩人皆正確 (B) 兩人皆錯誤 (C) 甲正確,乙錯誤 (D) 甲錯誤,乙正確
26. 如圖 ( 十二 ),I 為 ∆ ABC 的內心,有一直線通過 I 點且分別與相交 於 D 點 、 E 點。若,則 I 點到的距離為何? (A) (B) (C) 2 (D) 3