所屬科目:測量平差法
一、如圖所示,等精度觀測了三角度,觀測向量為已知 ∠AOB =77°58'24",以間接觀測平差分析 ∠AOP、∠POB 的最或是值。 (20 分)
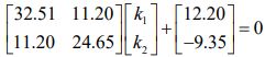
二、某一平差問題,觀測值向量為等精度獨立觀測值,已求出的法方程式 如下: 試求出此平差問題中的單位權變方估值(20 分)
三、已知隨機變數 x、y 的標準差分別為σ x 、σ y ,相關係數,試求函 數 u =x 2 + ay 的變方 。(20 分)
四、一平坦地區直線距離長度約為 150 m,欲以 50 m 長的捲尺分段量測之。 a 假設量測每一段長度之中誤差為 + 5 mm ,段與段相接處量測時皆 會產生 ± 5 mm 的中誤差,且捲尺兩端各有 ± 3 mm 的對點中誤差,試求 分成三段(每段約 50 m)作業時,總長度的中誤差。 (20 分)
五、直線方程式 y = ax +b ,假設 x 為真值且觀測值 y 為等權獨立不相關,試 由下列表格數據依最小二乘法估計 a、b。 (20 分)