所屬科目:教甄◆化學專業/化工科
(4)游離:
(5) 蒸氣壓(定溫下):(均視為理想溶液)
(9)寫出下列不同胺類舆氨的鹼性強度: NH3、CH3NH2、(CH3)2NH、(CH3)3N、
(五)溶液性質: (1)在重量莫耳濃度為m之非揮發性、非電解質稀薄水溶液中。試由拉午耳定律(非揮發性、非電解質溶液之蒸氣壓下降量: △P=),以及純水及溶液之三相圖,證明此溶液之沸點上升度數。(3分)
(2)承(1),已知純水在 25°C時飽和蒸壓為Poam,試列出計算式來表示25°C時,重量莫耳濃度為1m之CaCl2水溶液蒸氣 壓下降量△P=______atm(設強電解質在水中完全解離)(列式即可不需計算出答案)(2分)
(3)定,各取01莫耳之列體甲~辛分別溶於水成100mL溶液。(設強電解質在水中完全解離)(3分) (甲)CaCl2、(乙)AgNO3、(丙)、(T)Fe(OH)3(成)CH3OH、(已)C2H5OH,(庚)Na2O、(辛)CH3COOH等, 則取等體積之(甲)(乙)、(丙)(丁)、(戊)(己)、(庚)(辛)混合形成①、②、③、④溶液,則四種溶液之沸點大小依序為_______
(七)請解釋以下各小題:(各3分) (1)下列反應:,定溫下加入H3PO4後,其Ag3PO4對水溶解度之變化?並解釋之。
(八)【反應速率】 1.一反應機構如下 請以k1、k2、k1'推導出上述反應之速率定律式?(3分)
(1) 0.01M
(2) 0.01M
(十)某1升溶液中=0.01M,加入0.02 mol後,生成哪些沈澱物?溶液中分别為多少 M?(AgCI、AgBr、Agl的依序為)(4分)
(1)
(2)
(3)聯苯
(4)
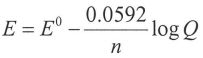
(2)請利用下頁所附標準還原電位表,判斷此金屬是何者?(以元素符號表示)(1分) (已知)(log2.18=0.34)
(2)並計算電池液中的濃度為多少M?(寫到小數點後2位)(2分)