所屬科目:工程數學(應用數學, 線性代數、微分方程、複變函數與機率)
1我們準備對(1,-1,3)以及(2,0,-4)這兩個向量做外積(cross product)。如果將答案寫成 (1,-1,3)✕(2,0,-4)=(a,b,c),那麼a✕b✕c=? (A)30(B)80(C)100(D)150
2考慮一線性方程組Ax=b,A為m✕n矩陣,m>n。下列敘述何者錯誤?(A)該方程組可能無解(B)該方程組可能只有一解(C)該方程組不可能有無窮多解(D)矩陣A的列階梯形矩陣(rowechelonform)一定有「零」列(rowofallzeros)
4假設我們已知(1,2,3)、(1,0,-1)以及(3,1,α)這三個向量無法構成的基底(basis)。那麼, α= ?(A) (B) (C) -1 (D)
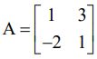
5考慮如下所示之矩陣:。下列敘述何者正確?(A)A為可逆(invertible)的矩陣(B)A為既約列梯形(reducedrowechelonform)的矩陣(C)A為單位矩陣(identitymatrix) (D) A 為對稱(symmetric)的矩陣
6如下所示之選項中,何者為矩陣的特徵向量(characteristicvector,亦稱eigenvector)? (選項中的符號代表矩陣轉置(transpose)的動作。提示:建議你直接套用特徵向量的定義下去做檢測) (A) (B) (C) (D)
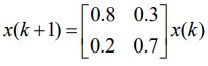
7考慮一馬可夫過程(Markovprocess): 其狀態向量x之初值 。請問為何?(A)(B) (C) (D)
8在下列四個選項所顯示的複變函數(complexfunction),其中有三個是可解析的(analytic,亦稱differentiable(可微分的)),有一個是不可解析的(notanalytic)。請指出那一個是不可解析的?(A)(B)z3(C)z (D)(z 的共軛複數)
9考慮如下所示之複變函數:。如果我們將該函數在 z = 0 (亦即複數平面上的原點)的留數(residue)寫成 a + b • i 的形式,那麼 a + b = ? (A) -2 (B)0 (C)3 (D) 2π
10在本題中我們考慮複變函數的線積分(lineintegral)。首先我們知道複數平面上的點可以寫成的形式,接著我們用代表y=x2這條曲線,而且其起點為(x,y)=(0,0)、 2 終點為 (x, y) = (1,1) 。請計算並且將結果寫成 a + b • i 的形式,此時 a • b 的數值與下列選項何者最為接近? (A) -5 (B) -1 (C)1 (D)5
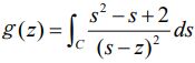
11令,其中路徑積分之路徑C為以±2,±2i為頂點之正方形的邊界,行經方向為 正。請問g(1)之值為何?(A)2πi (B)1 (C)0 (D) 4π i
12有一個雙變數函數f(x,y)=x2• sin(x•y)。請問f(x,y)在(1,π)的梯度(gradient)為何?(A)(1,π) (B)(π,1) (C)(- π, -1) (D)(1, -π)
13考慮微分方程式:,其中與分別代表y對變數t做一次與二次微 分。請問下列敘述何者正確?(A)對於某些初值,方程式的解會收斂到零(B)對於任何非零之初值,方程式的解是一個頻率為ω之週期函數(C)對於任何非零之初值,方程式的解之震幅不會隨輸入函數之頻率ω產生變化 (D)對於任何非零之初值,方程式的解會隨時間之增大而收斂到一個週期函數
14考慮一個初始值問題(initial-valueproblem)__微分方程:,初始條件:y(0)=2、y'(0)=-1。如果我們將本問題的解答y(x)寫成幂級數(power series)的形式:,那麼,a2=?(提示:可以嘗試用泰勒級數(Taylor series)的形式去做思考,直接將a2與y''(0)做連結)(A) -1 (B) (C)0 (D)
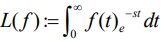
15下列關於拉普拉斯轉換(Laplacetransformation)之敘述,何者錯誤?(A) L( f + g) = L( f ) + L( g) (B) ,其中為 L 之逆轉換 (C) L( fg ) = L( f ) L( g ) (D) L( f' ) = s • L( f ) ,其中 f' 為 f 之導函數,且 f (0) = 0
16考慮以下函數:f(t)=1,當0≤t≤2;f(t)=0,當t≤0或t≥2。下列敘述何者正確? (A)函數f(t)之傅立葉轉換(Fouriertransform)為F(ω)=(B)函數g(t):=f(t+1)之傅立葉轉換(Fouriertransform)為G(ω)=cos(ω0t) /f(t) (C)函數 h(t ) := cos(ω0t ) f (t ) 之傅立葉轉換(Fourier transform)為 H (ω) = 2sin(ω- ω0 ) / (ω - ω0 ) (D)函數 m (t ) := f ( -t ) 之傅立葉轉換(Fourier transform)為 M (ω) = - sin(ω) /ω
17考慮一隨機變數x,其機率密度分布函數具有下列形式:f(x)=1-|x|,|x|≤1,且f(x)=0,x>1。 請問x之變異數(variance)為何?(A) (B)2/3 (C)1 / 6 (D)
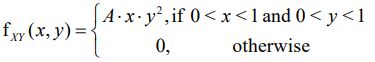
18有兩個連續的隨機變數X與Y,它們的合併機率密度函數(jointprobabilitydensityfunction)為:其中 A 為常數。請問隨機變數 X 的期望值(expectation)為下列何者?(A)(B)(C)(D)
20 請問的主值(principalvalue)為何? (A)0(B)-i(C) (D)
(一)令代表X的機率密度函數(probabilitydensityfunction),則=?(5分)
(二)令代表Y的機率密度函數,則=?(5分)
(一)考慮如下所示的曲線:C1:|z|=3(即以複數平面原點為中心、半徑為 3的圓) ,從z=3+0⋅i()逆時針旋轉繞一圈回到原出發點。試問=?
(二)考慮如下所示的曲線:C2:|z−i|=2(即以0+1⋅i為中心、半徑為2的圓),從z=0+(-1)•i逆時針旋轉繞一圈回到原出發點。試問=?