阿摩線上測驗 登入

申論題資訊

試卷:111年 - 111 地方政府特種考試_三等_電力工程、電子工程:工程數學#112610
科目:工程數學(應用數學, 線性代數、微分方程、複變函數與機率)
年份:111年
排序:0

題組內容

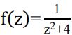
五、有一個複變函數639ad403a6fe0.jpg,欲對其作曲線積分(contourintegration),請回答下列問題:

申論題內容

(二)考慮如下所示的曲線:C2:|z−i|=2(即以0+1⋅i為中心、半徑為2的圓),從z=0+(-1)•i639ad46c7fe9f.jpg逆時針旋轉繞一圈回到原出發點。試問639ad47728622.jpg=?