所屬科目:工程數學(應用數學, 線性代數、微分方程、複變函數與機率)
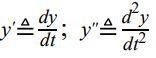
一、求解 y'' +y' − 2y = ; y(0)=1,y' (0)=0。 其中。
二、設矩陣 A= ,求矩陣 B 使得 AB= 。
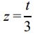
三、R3空間中,一曲線 C 之參數表示式如下:x = cos t, y = sin t, ;其中 − 4π ≤ t ≤ 4π。 求曲線C之長度(length of curve C) 。
(一)
(二)