所屬科目:機械力學
一、如圖所示之斜線面積,已知其形心位置座標為= (0, 0.75h) 。設若 r = 0.25R ,試求 h /R 的比值應為多少?(20 分)
二、質量 500 g 的物體 A 以長度 r =50 cm 的繩索繫於一支點,如圖所示。若將該物體提至 d = 20 cm 位置後靜止釋放,且可以忽略繩索重量,試求物體 A 於擺盪期間該繩索的最大張力為若干?(20 分)
三、10 公斤重的塊 A 從靜止狀態釋放並滑下光滑的平面。試求塊 A 瞬間停止時彈簧的壓縮量 x。(20 分)
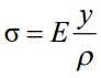
(一)以簡圖及數學表示推導樑之彎曲應力 (σ ) 與曲率半徑 (ρ ) 之關係:式中,E 為彈性係數,y 為中立軸(neutral axis)至樑邊緣之距離。
(二)一鋼絲直徑 4 mm ,若將其捲成平均半徑2.1 m的環形圓,如下圖所示。 假設鋼絲的彈性係數為 210 GPa ,試求鋼絲在 A 點的彎曲應力為若干?