所屬科目:研究所、轉學考(插大)◆生化學
15. Which one of the following subunits is NOT contained in the basic DNA-dependent RNA polymerase of the bacterium Escherichia coli? (A) α subunit (B) β subunit (C) ω subunit (D) σ subunit
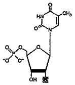
24. Which of the following nucleotide serves as a key second messenger in signaling pathway? (A)(B)(C)(D)(E)
31. Please determine the pI of the following peptides: Lys-His-Trp-Ser-Gly-Gly-Leu-Arg-Pro-Gly