所屬科目:泉勝◆基本電學實習
1. 電感電容電阻表稱為 LCR 表,顧名思義是用來測量電感 (L)、電容 ( C )和電阻 (R) 等被動電子元件的儀器。(A)O (B)X
2. 任意導線都有電阻。(A)O (B)X
3. 任一兩塊平行放置的金屬板都有電容。(A)O (B)X
4. 單位電壓通常就是1V。(A)O (B)X
5. 單位長度,就要認真看單位是米,還是公分,若是米,就是1米,若是公分,就是1公分。(A)O (B)X
6. 電容量的定義是「單位電壓所能儲存的電量」。例如,您將兩個鐵板平行放置,給予電壓1V,然後量測其電量有1C,則此電容量稱為1F。(A)O (B)X
7. 電容量的定義是「單位電壓所能儲存的電量」。例如,您將兩個鐵板平行放置,給予電壓1V,然後發現有 6.24 × 1018電荷聚集,則此電容量稱為1F。(A)O (B)X
8. 任意平行金屬板所能儲存的電容量與板面積成正比,與距離成反比。(A)O (B)X
9. 電容、電容量、電量都相同意思。(A)O (B)X
10. 電容、電容量都是相同意思,符號都是C。(A)O (B)X
11. 電量、電荷量都是相同意思。(A)O (B)X
12. 電容與電量都是相同意思,符號都是C。(A)O (B)X
13. 電容與電容量的符號是C。(A)O (B)X
14. 電容與電容量的單位符號是「F」。(A)O (B)X
15. 電容與電容量的單位是「法拉第」。(A)O (B)X
16. 電量的符號是Q,單位是「庫侖」,單位符號是「C」。(A)O (B)X
17. 電壓的符號是V,單位是「伏特」,單位符號是「Q」。(A)O (B)X
18. 電容器的工作電壓WV是指可以安全工作的容許電壓。(A)O (B)X
19. 並不是所有電容都要講求極性,有些電容沒有極性。(A)O (B)X
20. 有標示極性的電容,正負極接錯也沒關係。(A)O (B)X
21. 1uF表示0.000001F。(A)O (B)X
22. 1pF表是0.000001uF。(A)O (B)X
23. 電解質電容通常有極性,外殼有標示「-」,表示負極,且其長度也較長。(A)O (B)X
24. 某一電容標示「10p」代表10pF=0.001uF。(A)O (B)X
25. 某一電容標示「3p3」代表3.3pF。(A)O (B)X
26. 某一電容標示「8n2」代表8.2nF。(A)O (B)X
27. 某一電容標示「203」代表20000uF。(A)O (B)X
28. 某一電容標示「102」代表1000uF。(A)O (B)X
29. 某一電容標示「105」代表1uF。(A)O (B)X
30. 某一電容標示「黃、紫、橙、銀」代表47000uF±10%。(A)O (B)X
31. 某一電容標示「「紅、紅、黑、黑、金」,代表 220pF±5% 。(A)O (B)X
32. 電容串聯後總電容變大。(A)O (B)X
33. 電容串聯,可視為板距拉大,電容量變小。(A)O (B)X
34. 電容串聯後,帶電量與電容量成反比。(A)O (B)X
35. 電容串聯後,不管電容量的大小,其電量都相等。(A)O (B)X
36. 電容串聯後,不管電容量的大小,其電量與總電量都相等。(A)O (B)X
37. 電容串聯後,不管電容量的大小,其電壓都相等。(A)O (B)X
38. 電容串聯後,其分壓與自己的電容量成反比。(A)O (B)X
39. 電容並聯,可視為板面積加大,電容量變大。(A)O (B)X
40. 電容並聯後,其電壓也都相等。(A)O (B)X
41. 電容並聯後,不管電容量的大小,其電量也都相等。(A)O (B)X
42. 電容並聯後,總電量為個別電量的總和。(A)O (B)X
43. 電容並聯後,其電量與電容量的成正比。(A)O (B)X
44. 電容並聯後,電容量大的,其電量就大。(A)O (B)X
1. 電容器符號(A) (B) (C) (D)
2. 電容量單位(A)伏特(B)安培(C)歐姆(D)法拉
3. 電容量單位符號(A)V(B)A(C)Ω(D)F
4. 電容量的定義是(A)V/R(B)Q/V(C)QV(D)V/Q
5. 有一電容器,當加上10 伏特電壓時,產生5C(庫侖)電荷,試求該電容器的電容量C 為何?(A)0.5F(B)50F(C)2F(D)0.2F
6. 有一電容器,加上10V 電壓,產生2C(庫侖)電荷,當外加電壓加倍時,儲存電荷是多少?(A)1C(B)2C(C)4C(D)10C
7. 有一電容器,在電容量不變下,若要提高電量(符號是Q)為兩倍,則外加電壓應該如何?(A)減半(B)2倍(C)4倍(D)10倍
8. 空氣(或真空)的介電係數(或常數)=8.85×10-12F/m(法拉/ 公尺),有一平行板電容器,其兩極板間距離為1mm,極板面積1000m2,試求介質為空氣時之電容量為多少?(A)8.85F(B)8.85uF(C)8.85mF(D)88.5uF
9. 空氣(或真空)的介電係數(或常數)=8.85×10-12F/m(法拉/ 公尺),有一平行板電容器,其兩極板間距離為0.1mm,極板面積10m2,試求介質為電木時之電容量為多少μF ?(電木的ɛr=7)(A)310uF(B)620F(C)620mF(D)620uF
10. 有一平行板電容器,介質為空氣時,其電容量為12μF,當極板距離加倍,則電容量為(A)6μF(B)24μF(C)12μF(D)36μF
11. 有一平行板電容器,介質為空氣時,其電容量為12μF,當極板面積加倍,則電容量為(A)6μF(B)24μF(C)12μF(D)36μF
12. 有一平行板電容器,介質為空氣時,其電容量為12μF,當介質改為雲母,雲母的ɛr=5,則電容量為(A)6μF(B)24μF(C)12μF(D)60μF
13. 若將平板電容器極板面積減少為原來的一半,並將極板間的距離改變為原來的2倍,且介電係數不變,則改變後的電容器之電容值為原來的幾倍?(統測)(A) 4 倍 (B) 2 倍 (C) 0.5 倍 (D) 0.25 倍
14. 有一平行板電容器,於介質不變情況下,若極板間距離減半,要使電容量增加為8 倍,則極板面積須變為原來的多少倍?(統測 107)(A)2 (B)4 (C)8 (D)16
15. 有一個1000μF的電容器,若以10mA連續充電5秒。求充電量Q?(A)50mC(B)5C(C)5mC(D)10mC
16. 有一個1000μF的電容器,若以10mA連續充電5秒。求充電後的端電壓?(A)5V(B)50V(C)10V(D)30V
17. 電容器的3p3 代表容量為(A)3.3pF(B)3.3mF(C)三隻腳的電容器(D)3.3C
18. 電容器的203 表示容量為(A)203uF(B)20mF(C)0.02μF(D)0.02mF
19. 電容器的102 表示容量為(A)1nF(B)1uF(C)1pF(D)1mF
20. 電容器的105 表示容量為(A)1nF(B)1uF(C)1pF(D)1mF
21. 電容器的顏色「黃、紫、橙、銀」,代表(A)47nF(B)47pF(C)47uF(D)470nF
22. 電容器的顏色分別是「紅、紅、黑、黑、金」,代表(A)220uF(B)220pF(C)22pF(D)220nF
23. 某生在實驗課時用LCR 表量測一標示為203K之待測陶瓷電容,該生所量測的電容值可能為何?(統測 111)(A) 20.8 nF (B) 20.8μF (C) 203 nF (D) 203μF
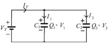
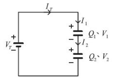
24. 若VT = 15V,C1 = 3μF,C2 = 6μF。求等效電容量?(A)2uF(B)2uC(C)1uF(D)1uC
25. 若VT = 15V,C1 = 3μF,C2 = 6μF。求Q1?(A)30uF(B)3uC(C)30uC(D)10uF
26. 若VT = 15V,C1 = 3μF,C2 = 6μF。求總等效電量?(A)30uF(B)10uC(C)30uC(D)30uA
27. 若VT = 15V,C1 = 3μF,C2 = 6μF。求V1 ?(A)3V(B)6V(C)9V(D)10V
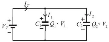
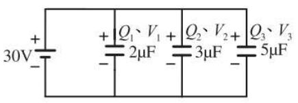
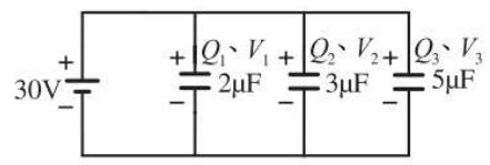
28. 電容串聯如圖,求等效電容量?(A)2uF(B)3uF(C)6uF(D)30uF
29. 電容串聯如圖,求Q1?(A)1uC(B)36uC(C)72uC(D)72uF
30. 電容串聯如圖,求Q2?(A)1uC(B)36uC(C)72uC(D)72uF
31. 電容串聯如圖,求總帶電量?(A)1uC(B)36uC(C)72uC(D)72uF
32. 電容串聯如圖,求V1?(A)4V(B)8V(C)24V(D)36V
33. 電容串聯如圖,求V2?(A)4V(B)8V(C)24V(D)36V
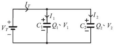
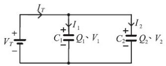
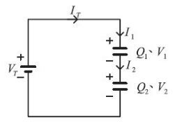
34. 如圖之電容器並聯電路,若VT = 10V,C1 = 2μF,C2 = 3μF。求:所有電容器端電壓?(A)2V(B)6V(C)9V(D)10V
35. 如圖之電容器並聯電路,若VT = 10V,C1 = 2μF,C2 = 3μF。求Q1?(A)20uC(B)30uC(C)50uC(D)60uC
36. 如圖之電容器並聯電路,若VT = 10V,C1 = 2μF,C2 = 3μF。求總等效電量?
(A)20uC(B)30uC(C)50uC(D)60uC
37. 如圖之電容器並聯電路,若VT = 10V,C1 = 2μF,C2 = 3μF。求總等效電容量?(A)1uF(B)2uF(C)3uF(D)5uF
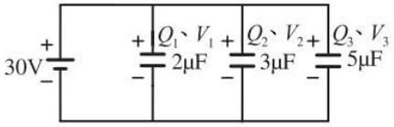
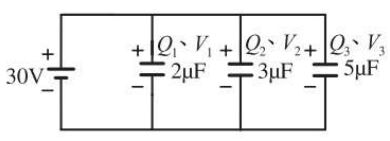
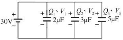
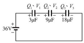
38. 電路如圖,求Q1電容端電壓?(A)4V(B)8V(C)24V(D)30V
39. 電路如圖,求Q1=?(A)300uC(B)150uC(C)90uC(D)60uC
40. 電路如圖,求Q2=?(A)300uC(B)150uC(C)90uC(D)60uC
41. 電路如圖,求Q3=?(A)300uC(B)150uC(C)90uC(D)60uC
42. 電路如圖,求三個電容總帶電量=?(A)300uC(B)150uC(C)90uC(D)60uC
43. 電路如圖,求所有電容等效總電容量?(A)1uF(B)2uF(C)3uF(D)10uF
44. 電路如圖,每一個電容 C 都是3μF,求 Cab= ?(A)1uF(B)1.3uF(C)2uF(D)3uF
45. 如圖所示電路,若直流電壓源 VS = 120V,C1 = 10μF、C2 = 20μF、C3 = 30μF,則電壓 V1 與 V2 分別為何?(統測 112)(A) V1 = 20V、V2 = 100V(B) V1 = 60V、V2 = 60V(C) V1 = 80V、V2 = 40V(D) V1 = 100V、V2 = 20V
46. 如圖所示,若 a、b 兩端的總電容值為 40 μF,則下列敘述何者正確?(統測 110)(A) C1 = 100μF、C2 = 10μF、C3 = 10μF(B) C1 = 80μF、C2 = 20μF、C3 = 20μF(C) C1 = 20μF、C2 = 10μF、C3 = 10μF(D) C1 = 120μF、C2 = 30μF、C3 = 30μF
47. 如圖所示,電容器 C1 = 9μF、C2 = 18μF,電阻,直流電源E = 24V,當電路已達穩定狀態,則下列敘述何者正確?(統測 105)(A) 電容器 C1 的電壓為 12V(B) 電容器 C2 的電壓為 16V(C) 儲存於電容器 C1 的電量為 144μC(D) 儲存於電容器 C2 的電量為 216μC
48. 四個相同的電容器串聯,若每個電容量為 20μF,則串聯的總電容量為何?(統測 103)(A) 5μF (B) 10μF (C) 20μF (D) 80μF