所屬科目:泉勝◆基本電學實習
1. 電感量、電感、電感值、電感大小都是相同,符號都是 H,單位是亨利,單位符號是H。(A)○(B)X
2. 若將有絕緣皮金屬線或漆包金屬線纏繞成圓柱狀就是電感器,就有電感。(A)○(B)X
3. 載流導線是指導線有電流通過。(A)○(B)X
4. 電感、電感量、電感大小符號都是L,單位是亨利,單位符號是 H。(A)○(B)X
5. 影響電感 L 大小的因素有導磁係數u、截面積 A、匝數 N 與線圈長度 l,其關係是L=uAN2/l。(A)O (B)X
6. 有一電感,其電感是 1H,若將截面積調整為2 倍,則電感變為 4H。(A)O (B)X
7. 有一電感,其電感是 1H,若將匝數調整為2 倍,則電感變為 2H。(A)O (B)X
8. 有一電感,其電感是 2H,若將長度調整為2 倍,則電感變為 2H。(A)O (B)X
9. 電容的色環標示,其單位為pF。(A)O (B)X
10. 電感的色環標示,其單位為uH。(A)O (B)X
11. 有一電感色環分別是「棕黑金銀」,代表是 1uH。(A)O (B)X
12. 有一電感色環分別是「棕黑紅銀」,代表是 1uH。(A)O (B)X
13. 有一電感色環分別是「棕黑橙銀」,代表是 1mH。(A)O (B)X
14. 電感的數碼標示,基本電位是uH。(A)O (B)X
15. 電感數碼標示 122J,即表示1.2mH±5%。(A)O (B)X
16. 電感數碼標示 303K,即表示30mH±10%。(A)O (B)X
17. 磁力線跑到相鄰的電感器,也會產生電感量,此稱為互感 M。(A)O (B)X
18. 若兩電感串聯,且擺放位置相距很遠,則兩電感無互感。(A)O (B)X
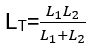
19. 電感無互感串聯,總電感量:LT=L1+L2。(A)O (B)X
20. 若兩電感擺放位置距離相近,則兩電感磁力線相通,會有互感。(A)O (B)X
21. 有互感的串聯又分為串聯互助與串聯互消。(A)O (B)X
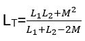
22. 若兩個電感的線圈纏繞方向相同,則自感磁力線與互感磁力線方向相同,總磁力線有相加的效果,稱為串聯互助。(A)O (B)X
23. 串聯互助,其總電感量 LT= (L1 + M) + (L2 + M) = L1 + L2 + 2M(亨利,H)。(A)O (B)X
24. 下圖表示串聯互助。(A)O (B)X
25. 下圖表示串聯互消。(A)O (B)X
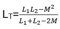
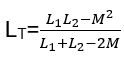
26. 若兩個電感的線圈捲繞方向相反,此稱為串聯互消,表示互感的磁力線與自感磁力線方向不同,總磁力線相減。(A)O (B)X
27. 串聯互消,其總電感量如下:LT= (L1–M) + (L2–M) = L1 + L2– 2M(亨利,H)。(A)O (B)X
28. 下圖表示串聯互助。
(A)O (B)X
29. 下圖表示串聯互消。
30. 下圖表示串聯互消。(A)O (B)X
31. 下圖 A,B 為串聯互消。(A)O (B)X
32. 下圖 B,C 為串聯互消。(A)O (B)X
33. 下圖 A,C 表示串聯互消。(A)O (B)X
34. 無互感並聯的總電感是為各電感倒數之和再倒數。(A)O (B)X
35. 無互感並聯的總電感(亨利,H)。(A)O (B)X
36. 並聯互助,總電感(亨利,H)。(A)O (B)X
37. 並聯互消,總電感(亨利,H)。(A)O (B)X
38. 並聯互助,總電感(亨利,H)。(A)O (B)X
39. 下圖是並聯互消。(A)O (B)X
40. 下圖是並聯互消。(A)O (B)X
41. 下圖是並聯互消。(A)O (B)X
42. 下圖是並聯互消。(A)O (B)X
43. 下圖表示串聯互消。(A)O (B)X
44. 下圖表示串聯互消。(A)O (B)X
45. 下圖是串聯互助。
1. 有一電感,其電感為 40H,若將其長度變為兩倍,則電感量變為多少 mH ?(A)20H(B)30H (C) 40H (D) 60H
2. 某電感器的線圈匝數為 50匝,其電感值為 5mH,電感器的磁路結構及材質為固定,且不考慮磁飽和現象,若線圈的匝數更新為100 匝,則更新後的電感值為何?(A)20mH (B)10mH(C) 2.5mH (D) 1.25mH(統測110)
3. 由線圈及鐵心構成的電感器,若 μ 為鐵心的導磁係數(H/m),Ac 為鐵心截面積(m2),Ic為鐵 心的平均長度(m),N 為線圈的匝數;忽略鐵心磁飽和,則其電感量(單位為 H)為何?(A)(B)(C)(D)
4. 有一電感,顏色為「橙黑金銀」,其值(A)30uH(B)3uH(C)3mH(D)30mH
5. 有一電感,顏色為「橙黑金銀」,則其誤差為(A)±1%(B)±5%(C)±0%(D)±20%
6. 有一電感,標示 303K,其值(A)30uH(B)3uH(C)3mH(D)30mH
7. 有一電感,標示 303K,其誤差是?(A)±1%(B)±5%(C)±0%(D)±20%
8. 如圖所示,若 L1 =3H、L2 =12HKm = 0.4,則互感M 為何?(3) 總電感LAB 為何?(A)2.4H(B)3H(C)8H(D)10.2H
9. 如圖所示,若 L1 =3H、L2 =12H、Km = 0.4,總電感 LAB 為何?(A)2.4H(B)3H(C)7.2H(D)10.2H
10. 如圖所示之電路,L1 =12H, L2 =4H,Km = 0.8,求總電感為多少亨利?
(A)2.4H(B)3H(C)7.2H(D)10.2H
11. 如圖所示之串聯電路,LA=6H, LB=8H,LC=20H,三者之互感均為 2H,求總電感為多少亨利?(A)12H(B)20H(C)23H(D)24H
12. 如下圖所示之並聯線圈,LA=6H,LB=4H,互感 M 為 1H,則其總電感為多少亨利?(A)2.4H(B)2.9H(C)7.2H(D)10.2H
13. 如右圖所示,各電感之間無互感存在,則 a、b 兩端之總電感值為多少?(A)15mH(B)11mH (C) 8mH (D) 4.5mH
14. 有兩電感器L1 = 16mH 及L2 = 9mH,且考慮兩電感間的互感,則下列敘述何者可能正確?(統測105) (A) 互感M12=15mH (B) 串聯後等效電感為Leq=60mH(C) 並聯後等效電感為Leq=9mH (D) 並聯後等效電感為Leq=16mH