阿摩線上測驗
登入
首頁
>
技檢◆工業電子-丙級
> 114年 - 02800 工業電子 丙級 工作項目 08:電工學 1-50(2025/10/16 更新)#132268
114年 - 02800 工業電子 丙級 工作項目 08:電工學 1-50(2025/10/16 更新)#132268
科目:
技檢◆工業電子-丙級 |
年份:
114年 |
選擇題數:
50 |
申論題數:
0
試卷資訊
所屬科目:
技檢◆工業電子-丙級
選擇題 (50)
1. 電阻與導線的截面積 (A)平方成正比 (B)成正比 (C)成反比 (D)無關 。
2. 使用電容器當濾波器時,負載取用電流愈大,漣波愈 (A)小 (B)大 (C)不變 (D)不一定 。
3. 有一電容器標示為 103J,則其電容值為 (A)103pF (B)0.001μF (C)0.01μF (D)0.103μF 。
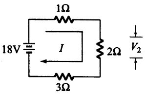
4. 下圖電路所示,V
2
的電壓降應為
(A)9V (B)6V (C)3V (D)2V 。
5. 下圖電路所示,總電阻 R
T
應為
(A)1Ω (B)1.5Ω (C)2Ω (D)3Ω 。
6. 兩電感串聯考慮互感時總電量為 (A)
(B)
(C)
(D)
。
7. 三個電阻器為 10Ω、0.5W;10Ω、0.25W;10Ω、1W 串聯時,其所容許之最大瓦特數為 (A)3W (B)3/2W (C)3/4W (D)7/4W 。
8. 下圖所示,I
2
之電流應為
(A)1A (B)1.5A (C)2A (D)3A 。
9. 計算戴維寧等效電阻時,必須將電壓源 (A)短路 (B)開路 (C)依電路而定 (D)依電壓值而定 。
10. 線性電路中,任意兩端點間之網路可用一等效電流源及並聯一等效電阻取代之,稱為 (A)戴維寧定理 (B)克希荷夫定律 (C)密爾門定理 (D)諾頓定理 。
11. 各邊電阻為 3Ω的△型網路化成Y型網路,其各支臂電阻應為 (A)1Ω (B)2Ω(C)3Ω (D)4Ω 。
12. 一交流電路中,υ(t)=30 cos(200t+15°)伏特,i(t)=0.5 cos(200t+75°)安培,則此電路之功率因數為 (A)0.886 (B)
(C)
(D)0.5 。
13. RLC 並聯電路其諧振頻率為 (A)
(B)
(C)
(D)
。
14. 有一負載的電壓和電流,分別是υ(t)=10 sin(ωt+75°)伏特,i(t)=2sin(ωt+15°)安培,則供給此負載的平均功率為 (A)5W (B)10W (C)15W (D)20W 。
15. 下圖υ(t)=12
cos ωt 伏特則其總電流之有效值
為
(A)1A (B)2A (C)5A (D)7A 。
16. RLC 並聯電路產生諧振時 (A)阻抗最小 (B)呈現電感性 (C)呈現電容性 (D)X
L
=X
C
。
17. 下圖電感器兩端之電壓為
(A)10V (B)20V (C)30V (D)50V 。
18. 設 i(t)=300sin(377t-30°)則此電流 i(t)的頻率為 (A)35Hz (B)50Hz (C)60Hz(D)75Hz 。
19. 5∠53°之共軛複數為 (A)-5∠53° (B)-5∠-53° (C)5∠53° (D)5∠-53° 。
20. 已知一阻抗 Z=3∠30°歐姆,若其電壓為 v=12∠-30°,則其電流 i 等於(A)4∠30°A (B)4∠-30°A (C)36∠0°A (D)4∠-60°A 。
21. 將極座標 6
∠135°換為直角座標得 (A)6+j6 (B)6-j6 (C)-6-j6 (D)-6+j6 。
22. 正弦波經全波整流後,其負載電流有效值為峰值的 (A)1/2 (B)π/2 (C)
/2(D)2/π 倍。
23. 若角頻率ω=10000 弳/秒,則 10μF 電容器的阻抗為 (A)10Ω (B)50Ω (C)j10Ω (D)-j10Ω 。
24. 已知電壓源 v=10∠0°伏特,內阻 z=5∠30°Ω則將此電壓源換成等效電流源後,i 等於 (A)-2∠30°A (B)-2∠-30°A (C)50∠30° (D)2∠-30°A 。
25. 電壓源 v=40∠0°伏特,其內阻 Z=10+j10Ω,供給一負載,則該負載阻抗為若干時可得到最大功率? (A)10+j10Ω (B)-10-j10Ω (C)-10+j10Ω(D)10-j10Ω 。
26. 在交流電路中感抗 Z
L
應為 (A)L/2πf (B)1/2πfL (C)2πf/L (D)2πfL 。
27. 下圖何者是線性電阻器的特性曲線? (A)
(B)
(C)
(D)
。
28. milli 安培是 (A)十分之一安培 (B)百分之一安培 (C)千分之一安培 (D)萬分之一安培 。
29. pico 法拉是 (A)10
- 6
法拉 (B)10
- 9
法拉 (C)10
- 1 2
法拉 (D)10
- 15
法拉 。
30. 下圖中 L 為
(A)抗流線圈 (B)抗壓線圈 (C)音頻線圈 (D)高週線圈 。
31. 變壓器鐵芯使用疊成薄矽鋼片,其目的在於減少 (A)銅損失 (B)機械損失 (C)磁滯損失 (D)渦流損失 。
32. 下圖之電路,已達穩定狀態,則由電壓源所供給的電流(I)約等於
(A)5A (B)10A (C)0A (D)20A 。
33. RLC 串聯諧振電路中,下列敘述何者錯誤? (A)諧振頻率與電阻有關 (B)諧振頻率與電感有關 (C)諧振頻率與電容有關 (D)感抗等於容抗 。
34. 電路頻率降低時,其電容抗 (A)增大 (B)不變 (C)減少 (D)不一定 。
35. 一電阻器標明為 100Ω±10%,其電阻值最大時可能為 (A)90Ω (B)100Ω (C)100.1Ω (D)110Ω 。
36. 相同的電容器n個串聯時,其電容量為並聯時之 (A)1/n
2
(B)1/n (C)n (D)n
2
倍。
37. 當電解電容器串聯使用時,通常各並聯一個電阻器,此電阻器的作用為 (A)降低阻抗 (B)直流分路 (C)平衡電容器分壓 (D)平衡相角 。
38. 理想的電感器,當加上電壓的瞬間,其流過的電流為 (A)零 (B)無限大 (C)不定值 (D)由大變小 。
39. 下圖各電容器之單位為μF,則 A、B 間總電容量為
(A)3μF (B)5μF (C)7μF (D)65/18μF 。
40. 下圖順時鐘(向下)調整可變電阻 A、B 之間的電阻值
(A)愈來愈大 (B)愈來愈小 (C)不變 (D)先小後大 。
41. 若將 10V 電壓加至一個電阻器 R 上,而此電阻器的色碼依次為棕、黑、紅、金,則流過 R 之電流約為 (A)5mA (B)10mA (C)50mA (D)100mA 。
42. 某一電阻兩端加上 100V 之電壓後,消耗 250W 之功率,則此電阻值為 (A)0.4 歐姆 (B)2.5 歐姆 (C)4 歐姆 (D)40 歐姆 。
43. 下列何者為封閉的曲線 (A)電力場線 (B)磁力線 (C)熱輻射線 (D)動力線 。
44. 下圖電路,當 SW 斷路後 0.1sec 時,電容器兩端電壓為
(A)10V (B)36V (C)63V (D)90V 。
45. 下圖開關 K 於 t=0 閉合,經無限長之時間後,則電感兩端之電壓為
(A)2.5V (B)10V (C)0V (D)3V 。
46. RLC 串聯諧振時迴路之 (A)電流最大 (B)阻抗最高 (C)各元件端電壓最低 (D)各元件電流最小 。
47. 在 RLC 串聯電路中 R=20Ω、L=0.3H、C=20μF,則諧振頻率 fr= (A)85Hz (B)65Hz (C)45Hz (D)30Hz 。
48. RLC 電路中,僅有 (A)電阻器 (B)電感器 (C)電容器 (D)RLC 消耗功率 。
49. 有一電路電壓υ(t)=100sin(ωt+60°),電流 i(t)=20sin(ωt+60°),則此電路可視為 (A)電阻器 (B)電感器 (C)電容器 (D)線圈 。
50. 單位時間內自導體任一截面流過之電量稱為電流強度,其單位(MKS 制)為 (A)庫倫 (B)安培 (C)伏特 (D)瓦特 。
申論題 (0)
相關試卷
114年 - 02800 工業電子 丙級 工作項目 10:數位系統 1-65(2025/10/16 更新)#132274
114年 · #132274
114年 - 02800 工業電子 丙級 工作項目 09:電子學 101-147(2025/10/16 更新)#132273
114年 · #132273
114年 - 02800 工業電子 丙級 工作項目 09:電子學 51-100(2025/10/16 更新)#132272
114年 · #132272
114年 - 02800 工業電子 丙級 工作項目 09:電子學 1-50(2025/10/16 更新)#132271
114年 · #132271
114年 - 02800 工業電子 丙級 工作項目 08:電工學 101-128(2025/10/16 更新)#132270
114年 · #132270
114年 - 02800 工業電子 丙級 工作項目 08:電工學 51-100(2025/10/16 更新)#132269
114年 · #132269
114年 - 02800 工業電子 丙級 工作項目 07:測試知識 1-48(2025/10/16 更新)#132267
114年 · #132267
114年 - 02800 工業電子 丙級 工作項目 06:電子儀表使用知識 1-44(2025/10/16 更新)#132266
114年 · #132266
114年 - 02800 工業電子 丙級 工作項目 05:裝配知識 1-55(2025/10/16 更新)#132265
114年 · #132265
114年 - 02800 工業電子 丙級 工作項目 04:零組件知識 1-51(2025/10/16 更新)#132264
114年 · #132264