阿摩線上測驗
登入
首頁
>
技檢◆工業電子-丙級
> 114年 - 02800 工業電子 丙級 工作項目 09:電子學 1-50(2025/10/16 更新)#132271
114年 - 02800 工業電子 丙級 工作項目 09:電子學 1-50(2025/10/16 更新)#132271
科目:
技檢◆工業電子-丙級 |
年份:
114年 |
選擇題數:
50 |
申論題數:
0
試卷資訊
所屬科目:
技檢◆工業電子-丙級
選擇題 (50)
1. 二極體反向偏壓時,空乏區寬度 (A)不變 (B)變大 (C)變小 (D)不一定 。
2. 半導體之電中性是指 (A)無自由電荷 (B)無主要載子 (C)有等量的正電荷與負電荷 (D)無電荷存在 。
3. 在 N 型半導體裡,電洞的濃度將隨溫度的升高而 (A)增加 (B)減少 (C)對數關係增加 (D)無關 。
4. 當溫度升高時,一般金屬導體之電阻值增加,矽半導體在溫度上升時,其電阻值 (A)下降 (B)上升 (C)不變 (D)成絕緣體 。
5. N 型矽或鍺半導體 (A)為絕緣體 (B)含有多量電洞 (C)是不良的導電體 (D)含有多量的電子 。
6. 下圖 V
0
輸出波形近似於
(A)正弦波 (B)三角波 (C)階梯波 (D)方波 。
7. 調幅波載波振幅隨著下列何種調變信號參數而改變? (A)頻率 (B)振幅 (C)斜率 (D)相角 。
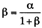
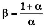
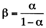
8. 調頻電台之最大頻率偏差為 (A)±50kHz (B)±75kHz (C)±100kHz (D)±200kHz 。
9. 接收機之調諧電路,其頻率響應曲線愈尖銳,則 (A)傳真度愈高 (B)選擇性愈佳 (C)S/N 比較低 (D)頻寬愈大 。
10. 一正回授電路欲使其產生正弦波振盪時,則環路增益(Loop Gain)應大約等於 (A)0 (B)1 (C)
(D)
。
11. 下圖所用之電解電容器 C 其耐壓最小要多少伏特以上?
(A)6V (B)10V (C)16V (D)25V 。
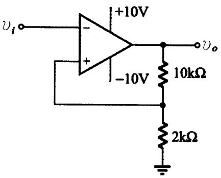
12. 下圖,υ
i
輸入一方波信號為 1kHz,在輸出未飽和情況下,輸出信號υ
0
應為
(A)方波 (B)鋸齒波 (C)三角波 (D)矩形波 。
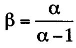
13. 下圖電流源為 0.1A,電壓源為 3V,R 為 100Ω,則輸出電壓υ
0
為
(A)+13V (B)+7V (C)0V (D)-7V 。
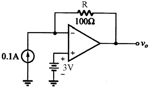
14. 下圖若υ
i
=20V 之 1kHz 正弦波信號,則輸出υ
0
為
(A)V
P
=-14V 之 1kHz正弦波 (B)V
P
=+14V 之 1kHz 正弦波 (C)V
P
=+14V 之 1kHz 餘弦波 (D)V
P- P
=20V 之方波 。
15. 有關理想放大器的特性,下列何者不正確 (A)輸入阻抗無窮大 (B)輸出阻抗無窮大 (C)頻帶寬度無窮大 (D)電壓增益無窮大 。
16. SCR 導通後 A-K 兩端點間之電壓降約為 (A)0.6~0.8V (B)1~2V (C)4~5V (D)10~20V 。
17. 下列敘述何者不正確 (A)TRIAC 可控制交流電功率 (B)SCR 為單向導通元件(C)DIAC 可作觸發元件 (D)UJT 為單向激發導電二極體 。
18. 一般 DIAC 之崩潰電壓約為 (A)5~10V (B)10~25V (C)25~45V (D)60~80V 。
19. UJT 的η值(本質內分比)將隨著溫度增加而 (A)減少 (B)增加 (C)不變 (D)不一定 。
20. 若電晶體的β值是 99,則其共基極之順向電流轉換率α等於 (A)0.01 (B)9.9(C)1.01 (D)0.99 。
21. 有關下圖之敘述,下列何者為真
(A)R
1
短路,則 V
C
=12V (B)R
1
斷路,則V
C
=12V (C)R
1
斷路,則 V
C
=0V (D)R
1
短路,則 V
C
=0V 。
22. 下圖電路其交流電壓增益約為
(A)-2 (B)-4 (C)+100 (D)-100 。
23. 下圖場效電晶體 r
d
=30kΩ,g
m
=2mS,則此電路在低頻時電壓增益為
(A)-60 (B)60×1000 (C)-15 (D)-15×1000 。
24. 下圖電路為
(A)倍壓整流電路 (B)截波電路 (C)檢波電路 (D)濾波電路 。
25. 下圖 V
i
=10V,而 V
0
為
(A)5V (B)5.6V (C)6.2V (D)10V 。
26. 在限流(Limited Current)的穩壓電源上,接上負載電阻時,其過負載的指示燈亮時,原因不可能是 (A)負載短路 (B)限流值設定過小 (C)電源輸出端兩端因接觸短路 (D)使用高阻抗儀表測試負載端 。
27. 在電晶體各組態中,若 I
B
為固定,則電壓增益與電流增益乘積最高的是(A)共基極 (B)共射極 (C)共集極 (D)共閘極 。
28. 電晶體共射極放大器,加入射極電阻器而不加旁路電容器可 (A)提高輸入阻抗 (B)降低輸出阻抗 (C)降低輸入阻抗 (D)增加非線性失真 。
29. 電晶體的共基極短路電流增益α與共射極短路電流增益β兩者之間的關係為: (A)
(B)
(C)
(D)
。
30. 場效電晶體(FET)工作時靠 (A)電壓 (B)電流 (C)電阻 (D)電容 來控制其電流大小。
31. 效率最高的放大器是 (A)甲類 (B)乙類 (C)甲乙類 (D)丙類 放大器。
32. 正常 OCL 放大器,其輸出端的中點電壓為 (A)0V (B)1/2Vcc (C)2/3Vcc (D)1Vcc 。
33. 二極體不能做下列那一項工作 (A)整流 (B)檢波 (C)放大 (D)偏壓 。
34. 一理想的電流源,其內阻應為 (A)零 (B)無窮大 (C)隨負載而定 (D)固定值 。
35. 下圖倍壓整流電路應為多少倍
(A)二倍 (B)三倍 (C)四倍 (D)六倍 。
36. 上升時間(Rise Time)之定義是波形由 (A)0~100% (B)5%~95% (C)10%~90% (D)50%~100% 所經過的時間。
37. 若理想電源供應器的滿負載為 4Ω,若負載電流降為滿負載時的一半,則負載電阻為 (A)2Ω (B)8Ω (C)視電壓大小而定 (D)視電流大小而定 。
38. 全波整流電路中,每只二極體的最大電流為 10A,各串聯一只 0.1Ω電阻的目的,依下列敘述何者錯誤 (A)限流 (B)平衡兩個二極體所通過的電流 (C)平衡兩個二極體所消耗的功率 (D)兩個二極體獲得熱平衡 。
39. 橋式整流的漣波頻率為電源頻率的 (A)2 倍 (B)3 倍 (C)4 倍 (D)1 倍 。
40. 下列整流電路,何者可得全波整流輸出?
(A)A 與 B (B)B 與 C (C)C 與 D (D)A與 D 。
41. 下列電路具有開關之動作為 (A)箝位電路 (B)截波電路 (C)整流電路 (D)交換電路 。
42. 一個時間常數(Time Constant)是表示輸出信號達到飽和值的 (A)26.8%(B)50% (C)63% (D)75% 。
43. 雙載子電晶體交換電路,工作於非飽和區,交換速度很短,主要乃是電路不工作在 (A)截止區 (B)動作區 (C)飽和區 (D)電阻區 。
44. FET 三個參數(gm,rd,μ)之關係是 (A)gm=μ×rd (B)μ=gm×rd (C)rd=gm×μ (D)rd=gm/μ 。
45. 下圖所示之電路,其輸入與輸出相位
(A)相差 180° (B)相同 (C)相差 90° (D)接近於 0° 。
46. 共集極電路結構是(A)
(B)
(C)
(D)
。
47. 半波整流電路,若輸入為正弦波 120 伏特有效值,負載為純電阻,則輸出V
DC
為 (A)54 伏特 (B)70 伏特 (C)108 伏特 (D)162 伏特 。
48. 射級隨耦器屬於 (A)電流串聯回授 (B)電壓串聯回授 (C)電壓並聯回授 (D)電流並聯回授 。
49. 放大器的偏壓選擇不當,將引起 (A)波幅失真 (B)頻率失真 (C)相位失真 (D)輸入信號短路 。
50. 某一放大器其輸入功率為 0.1W,輸出功率為 10W,則功率增益為 (A)0.1dB(B)1dB (C)10dB (D)20dB 。
申論題 (0)
相關試卷
114年 - 02800 工業電子 丙級 工作項目 10:數位系統 1-65(2025/10/16 更新)#132274
114年 · #132274
114年 - 02800 工業電子 丙級 工作項目 09:電子學 101-147(2025/10/16 更新)#132273
114年 · #132273
114年 - 02800 工業電子 丙級 工作項目 09:電子學 51-100(2025/10/16 更新)#132272
114年 · #132272
114年 - 02800 工業電子 丙級 工作項目 08:電工學 101-128(2025/10/16 更新)#132270
114年 · #132270
114年 - 02800 工業電子 丙級 工作項目 08:電工學 51-100(2025/10/16 更新)#132269
114年 · #132269
114年 - 02800 工業電子 丙級 工作項目 08:電工學 1-50(2025/10/16 更新)#132268
114年 · #132268
114年 - 02800 工業電子 丙級 工作項目 07:測試知識 1-48(2025/10/16 更新)#132267
114年 · #132267
114年 - 02800 工業電子 丙級 工作項目 06:電子儀表使用知識 1-44(2025/10/16 更新)#132266
114年 · #132266
114年 - 02800 工業電子 丙級 工作項目 05:裝配知識 1-55(2025/10/16 更新)#132265
114年 · #132265
114年 - 02800 工業電子 丙級 工作項目 04:零組件知識 1-51(2025/10/16 更新)#132264
114年 · #132264