阿摩線上測驗
登入
首頁
>
技檢◆工業電子-丙級
> 114年 - 02800 工業電子 丙級 工作項目 08:電工學 51-100(2025/10/16 更新)#132269
114年 - 02800 工業電子 丙級 工作項目 08:電工學 51-100(2025/10/16 更新)#132269
科目:
技檢◆工業電子-丙級 |
年份:
114年 |
選擇題數:
50 |
申論題數:
0
試卷資訊
所屬科目:
技檢◆工業電子-丙級
選擇題 (50)
51. 電導為 (A)電阻之倒數 (B)電感之倒數 (C)導體之電荷單位 (D)磁通量單位 。
52. 下列何者的導電率最高 (A)銅 (B)銀 (C)鐵 (D)鋁 。
53. 若 P
o
為輸出功率,P
i
為輸入功率,P
L
為損失,則變壓器效率為 (A)(P
o
/ P
i
)×100% (B)[(P
o
- P
L
) / P
i
]×100% (C)(P
L
/ P
i
)×100% (D)[P
o
/ (P
i
+ P
L
)]×100% 。
54. 電度的單位為 (A)瓩時 (B)安培 (C)伏特 (D)瓦特 。
55. 電源頻率由 60Hz 變為 50Hz 時,較不受影響的是 (A)變壓器 (B)電動機 (C)日光燈 (D)電熱器 。
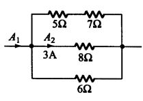
56. 下圖中 A
2
=3 安培,則 A
1
為
(A)6A (B)9A (C)12A (D)15A 。
57. 若 i(t)=141.4sin ωt 安培時,則電流之有效值為 (A)70.7A (B)100A (C)141.4A (D)200A 。
58. 有一電路之阻抗為 6+j8 歐姆,則功率因數為 (A)0.48 (B)0.6 (C)0.8 (D)1 。
59. 台灣地區之電源,其週期為 (A)60 秒 (B)1/60 秒 (C)50 秒 (D)1/50 秒 。
60. 2μF 與 3μF 之電容器串聯後接於 100V 之直流電源,則 3μF 電容器之端電壓為 (A)40V (B)50V (C)60V (D)100V 。
61. 有一 2000 瓦的電熱水器,連續使用 10 小時,所消耗電力為 (A)2 度 (B)5 度(C)10 度 (D)20 度 。
62. 將 3 歐姆的電阻與 3 西門子(SIEMENS)的電導並聯相接,其等效電阻為(A)3/10 歐姆 (B)10/3 歐姆 (C)3/2 歐姆 (D)2/3 歐姆 。
63. 10mA 等於 (A)0.1 安培 (B)0.01 安培 (C)0.001 安培 (D)0.0001 安培 。
64. 一銅線在 20℃時電阻為 50Ω,則在 40℃時電阻為 (A)25Ω (B)50Ω (C)54Ω(D)100Ω 。
65. 直流電源的頻率為 (A)∞Hz (B)0Hz (C)50Hz (D)100Hz 。
66. 在電源不變的情況下,將 1000W 的電熱線長度剪去 20%,則其功率變為(A)800W (B)1000W (C)1250W (D)2500W 。
67. 有 n 個完全相同的電阻,其串聯時之總電阻為並聯時之 (A)1/n 倍 (B)n 倍 (C)1/n
2
倍 (D)n
2
倍 。
68. 一個 100W 的燈泡,當供應電壓減少一半,其消耗功率亦隨之減少為 (A)1/2 (B)1/3 (C)1/4 (D)1/8 。
69. 設有三個電容量相同的電容器,其耐壓分別為 50V、100V、75V,若將其串聯接線,則其最高的工作電壓為 (A)150V (B)200V (C)225V (D)250V 。
70. 在純電感電路中,其電流落後電壓 (A)60° (B)90° (C)180° (D)270° 。
71. 使用交流電壓表測量交流電源的電壓,若其指示為 120V,則該值為 (A)平均值 (B)有效值 (C)峰值 (D)瞬間值 。
72. 於一導體中在 0.1 秒流過 10 庫倫的電荷量,其電流為 (A)0.1A (B)1A (C)10A(D)100A 。
73. 在一電容與電感並聯諧振電路中,流過兩支路的電流各為 1A,則其總電流為 (A)0A (B)0.707A (C)1A (D)2A 。
74. 在一 RC 串聯電路,R=15kΩ、C=0.1μF,則其時間常數為 (A)0.0015 秒(B)0.015 秒 (C)15 毫秒 (D)150 毫秒 。
75. 電流流過電阻所產生的熱量可由 H=0.24I2Rt 的公式求得,H(熱量)的單位為 (A)BTU (B)瓦特 (C)焦耳 (D)卡 。
76. 工程上實用的磁通單位為 (A)庫倫 (B)韋伯 (C)高斯 (D)奧斯特 。
77. 下圖所示之電橋平衡時,Rx 值為
(A)R
3
/(R
1
R
2
) (B)R
1
R
2
/R
3
(C)(R
3
/R
1
)R
2
(D)(R
3
/R
2
)R
1
。
78. 某線圈每分鐘有 1.2 庫倫的電量通過,則線圈電流為 (A)1.2A (B)2.0A (C)72A (D)0.02A 。
79. υ(t)=14.14sin(377t+30°),則該電壓有效值 Vrms= (A)10V (B)14.14V (C)20V (D)9V 。
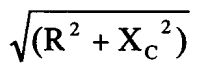
80. RLC 串聯諧振電路,其阻抗 Z= (A)
(B)
(C)R(D)
。
81. 某電阻器兩端電壓為 10 伏特,電流為 400 毫安培,若流過此電阻器之電流為 1 安培時,電壓為 (A)10V (B)25V (C)50V (D)100V 。
82. 1Ω和 2Ω兩電阻器額定功率為 0.5W,串聯後最大能加多少伏特,而不超過額定功率損耗 (A)0.1V (B)1V (C)1.5V (D)3V 。
83. 下列何者正確? (A)理想電壓表其內阻應為零 (B)理想電流源其內阻應為零(C)理想電壓源其內阻應為零 (D)理想電壓放大器輸出阻抗應為無窮大 。
84. 應用戴維寧定理求等效電阻時 (A)所有獨立電壓源短路,所有獨立電流源開路 (B)所有獨立電壓源開路,所有獨立電流源短路 (C)所有電源均短路 (D)所有電源均開啟 。
85. 三個電容 C
1
、C
2
、C
3
各為 5μF、10μF、20μF,在串聯連接下,電容值若為 B/A,請問 2A+B 應為 (A)18 (B)25 (C)34 (D)41 。
86. 下圖 A、B 兩點間之總電容量 C
AB
=
(A)1μF (B)2μF (C)1.5μF (D)4μF 。
87. 下圖所示,求通過稽納二極體之電流 I
Z
為
(A)4mA (B)5mA (C)9mA (D)10mA 。
88. 下圖所示,求 V
0
=
(A)0V (B)200V (C)400V (D)10V 。
89. 以直角座標相量表示 10∠30°= (A)5-j5
(B)5+j5
(C)5
+j5 (D)5
-j5 。
90. 下圖所示,I=40mA,I
1
=I
2
,則 R
1
之值為
(A)100Ω (B)150Ω (C)200Ω (D)250Ω 。
91. 下圖所示,在開關 S 接通之瞬間線路電流 I 為
(A)1A (B)2A (C)4A (D)5A 。
92. 下圖所示,若 E、R
1
、R
2
不變,則 R
3
增加時,R
2
的電流將
(A)增加 (B)減少(C)不變 (D)不一定 。
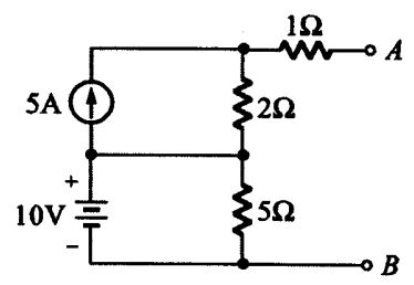
93. 下圖所示,求 A、B 兩端戴維寧等效電阻為
(A)2Ω (B)3Ω (C)5Ω (D)8Ω 。
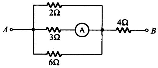
94. 下圖所示,電流表 A 之讀數為 4A 時,A、B 兩端之電壓為
(A)48V (B)60V(C)72V (D)80V 。
95. 下圖所示,V
dc
為
(A)-32V (B)36V (C)48V (D)-48V 。
96. 有一電流 i(t)=10sin ωt 通過 5Ω電阻,則其消耗功率為 (A)250W (B)375W(C)500W (D)625W 。
97. 下圖所示,A、B 間總電阻為
(A)4Ω (B)5Ω (C)6Ω (D)8Ω 。
98. 下圖所示,當發生諧振時,線路電流為
(A)5A (B)10A (C)15A (D)20A 。
99. 下圖所示,則下列何者正確?
(A)I
A
/I
B
= R
A
/R
B
(B)P
A
= P
B
(C)I
A
= 10 × (R
A
/R
A
+ R
B
) (D)I
A
= 6A,I
B
= 4A 。
100. 如圖所示電路,R
ab
=?
(A)0 (B)5 (C)10 (D)20 。
申論題 (0)
相關試卷
114年 - 02800 工業電子 丙級 工作項目 10:數位系統 1-65(2025/10/16 更新)#132274
114年 · #132274
114年 - 02800 工業電子 丙級 工作項目 09:電子學 101-147(2025/10/16 更新)#132273
114年 · #132273
114年 - 02800 工業電子 丙級 工作項目 09:電子學 51-100(2025/10/16 更新)#132272
114年 · #132272
114年 - 02800 工業電子 丙級 工作項目 09:電子學 1-50(2025/10/16 更新)#132271
114年 · #132271
114年 - 02800 工業電子 丙級 工作項目 08:電工學 101-128(2025/10/16 更新)#132270
114年 · #132270
114年 - 02800 工業電子 丙級 工作項目 08:電工學 1-50(2025/10/16 更新)#132268
114年 · #132268
114年 - 02800 工業電子 丙級 工作項目 07:測試知識 1-48(2025/10/16 更新)#132267
114年 · #132267
114年 - 02800 工業電子 丙級 工作項目 06:電子儀表使用知識 1-44(2025/10/16 更新)#132266
114年 · #132266
114年 - 02800 工業電子 丙級 工作項目 05:裝配知識 1-55(2025/10/16 更新)#132265
114年 · #132265
114年 - 02800 工業電子 丙級 工作項目 04:零組件知識 1-51(2025/10/16 更新)#132264
114年 · #132264