阿摩線上測驗
登入
首頁
>
技檢◆測量-工程測量-甲級
> 114年 - 04202 測量─工程測量 甲級 工作項目 01:控制測量 1-50(2025/10/28 更新)#132640
114年 - 04202 測量─工程測量 甲級 工作項目 01:控制測量 1-50(2025/10/28 更新)#132640
科目:
技檢◆測量-工程測量-甲級 |
年份:
114年 |
選擇題數:
50 |
申論題數:
0
試卷資訊
所屬科目:
技檢◆測量-工程測量-甲級
選擇題 (50)
1. 用基線尺量得 A、B 兩點距離為 1000m,A、B 兩點高差為 20m,其傾斜改正數應為 (A)+20cm (B)-20cm (C)-30cm (D)+30cm 。
2. 一銦鋼尺在 20℃時之標準長度為 100m,今用此尺量出兩點距離為400m,施測時之溫度為 25℃,若此尺之膨脹係數為 0.0000003 時,該兩點之真正長度為 (A)400.0002m (B)400.0006m (C)399.9998m (D)399.9994m 。
3. 就三角網圖形強弱因數值而言,一等三角測量與其他等級三角測量相比,其數值應 (A)較小 (B)較大 (C)相等 (D)視圖形形狀而定 。
4. 在三角測量中,三角形內角不能太小,因為 (A)會增加讀數時間 (B)計算困難 (C)對點不易準確 (D)影響圖形強弱因數 。
5. 地球之扁平率 f=(a-b)/a,式中a相當於地球上 (A)子午線 (B)平行圈 (C)短半徑(極半徑) (D)長半徑(赤道半徑) 。
6. 我國台灣地區所用之二度分帶橫梅氏(TM)投影之中央經線,為東經 (A)115° (B)120° (C)121° (D)122° 。
7. 二度分帶橫梅氏(TM)投影中央經線之橫坐標值為 (A)150,000m (B)250,000m (C)350,000m (D)500,000m 。
8. 如下圖所示測得四邊形之 8 個角,圖形平差中之獨立條件數是
(A)2 (B)4(C)6 (D)8 。
9. 地球曲率差之大小與距離 (A)成正比 (B)成反比 (C)之平方成正比 (D)之平方成反比 。
10. 設 E
A
=2000m,N
A
=3000m,E
B
=4000m,N
B
=2000m,則 AB 之方位角為(A)116°33'54" (B)120°33'54" (C)296°33'54" (D)73°26'06" 。
11. 地球弧面差約為大氣折光差之 (A)七分之一 (B)三分之一 (C)七倍 (D)三倍 。
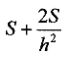
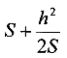
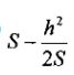
12. 設一傾斜距離為 S,其兩端之高程差為 h,則水平距離等於 (A)
(B)
(C)
(D)
。
13. 應用 T2 經緯儀觀測天頂距,如正鏡讀數為 94°12'44",倒鏡讀數為 265°47'24",則其垂直角為 (A)-4°12'40" (B)+4°12'40" (C)-81°34'40" (D)+81°34'40" 。
14. 設 AB 及 CA 兩測線之方位角分別為 65°及 345°,則∠BAC 為 (A)100°(B)230° (C)50° (D)280° 。
15. 三角形之∠A=60°,∠B=45°,∠C=75°,已知∠A 對邊 a=1000 公尺,則∠B 之對邊 b 等於 (A)1224.745 公尺 (B)1115.355 公尺 (C)866.025 公尺(D)816.497 公尺 。
16. 在三角高程測量中,兩站對向觀測垂直角以求兩點之高程差,可消除:(A)地球弧面差與大氣折光差 (B)儀器垂直軸誤差 (C)儀器對心誤差 (D)儀器下陷誤差 。
17. 如下圖之單三角鎖,測得 A1=60°,B1=55°,C1=65°;A2=68°,B2=62°,C2=50°;A3=66°,B3=56°,C3=58°,已知 AB 之方位角為 40°,則DE 之方位角為
(A)200° (B)156° (C)132° (D)147° 。
18. 一角形之內角為:A=60°,B=78°,C=42°,ABC 按順時針方向排列,若CA 之方位角為 60°,則 AB 之方位角為 (A)120° (B)138° (C)102° (D)180° 。
19. 三角測量如觀測三測回,則每一測回開始時,水平度盤分別對準 (A)0°,45°,90° (B)0°,120°, 240° (C)0°,60°,120° (D)0°,90°,180° 。
20. 目前我國五萬分之一地形圖是使用 (A)六度分帶 UTM 投影 (B)三度分帶TM 投影 (C)二度分帶 TM 投影 (D)多圓錐投影 。
21. 設 H=水平軸(橫軸),Z=視準軸,L=水準管軸,V=垂直軸,經緯儀之裝置原則為 (A)L⊥V,Z⊥H,H⊥V (B)L//V,Z⊥H,H⊥V (C)L⊥V,Z//H,H⊥V (D)L⊥V,Z⊥H,H//V 。
22. 三角測量建造高覘標時,通常考慮觀測之視線應高出中間最高障礙物:(A)5m 以上 (B)10m 以上 (C)20m 以上 (D)30m 以上 。
23. 電子測距之氣象改正項目為 (A)氣流、氣壓 (B)氣壓、濕度 (C)濕度、溫度(D)溫度、氣壓、濕度 。
24. 一等三角(三邊)測量之邊長應在 (A)20 公里以上 (B)5 至 10 公里之間(C)3 至 8 公里之間 (D)1 至 3 公里之間 。
25. 導線邊長 100m,如照準覘標偏離 0.5cm,則影響於水平角之最大誤差為 (A)1 秒 (B)5 秒 (C)10 秒 (D)20 秒 。
26. 羅盤儀法則改正,係假定測角誤差與量距誤差對導線坐標所生之影響(A)兩者相等 (B)前者大於後者 (C)前者小於後者 (D)視儀器種類而定 。
27. 已知 A、B 兩點之坐標如下 E
A
=3762.464m,N
A
=1739.812m,E
B
=4106.732m,N
B
=1804.964m。C 點在 A
B
線上,
=227.643m,C 點之橫坐標 Xc 等於: (A)3986.137 (B)3804.794 (C)4330.405 (D)1963.485 。
28. 閉合導線偏角總和,應等於 (A)360° (B)270° (C)180° (D)90° 。
29. 導線 ABC 依順時針方向進行,設 AB 之方位角為 40°,B 點之偏角為30°R,則 BC 之方位角為 (A)50° (B)10° (C)70° (D)110° 。
30. 導線之縱橫距閉合差分別為 3.5cm 及 4.2cm,導線之總長為1120.34m,則此導線之精度為 (A)1/20492 (B)1/18300 (C)1/25043 (D)1/22304 。
31. 導線測角與量距之精度應互相配合,如測角之精度達到 20",則對200m 之量測邊長而言,其量距之誤差應該小於 (A)0.009m (B)0.019m (C)0.029m (D)0.039m 。
32. 一水準儀之水準氣泡移動 10 格時,距離儀器 20.626m 處之標尺上前後讀數相差為 2cm,則該儀器之靈敏度為 (A)5"/2mm (B)10"/2mm (C)20"/2mm (D)40"/2mm 。
33. 設 A 點之標高為 55.123m,B 點之標高為 60.145m,今自 A 實施水準測量測至 B,得後視讀總和為 5.432m,前視總和為 0.422m,則水準閉合差為 (A)-0.012m (B)+0.012m (C)+0.011m (D)-0.011m 。
34. 水準測量時,如標尺往前傾斜 2°,其讀數為 1.5m,則因標尺傾斜而生之讀數誤差為 (A)0.001m (B)0.002m (C)0.003m (D)0.004m 。
35. 水準器之曲率半徑為 20m,其靈敏度為 (A)10"/2mm (B)20"/2mm (C)40"/2mm (D)1"/2mm 。
36. 作木樁校正法時,水準儀置於 A、B 二點之中央,得 A 尺讀數為1.136m,B 尺讀數 1.168m。再移儀器於緊接 B 尺近旁,讀 A 尺為1.205m,B 尺 1.232m,則應調整十字絲使 A 尺之讀數為 (A)1.262m (B)1.300m (C)1.200m (D)1.280m 。
37. 設水準器之靈敏度為 40"/2mm,當氣泡移動一格時,距離 100m 處標尺之讀數相差 (A)0.2cm (B)2cm (C)3cm (D)4cm 。
38. 水準管軸不垂直於垂直軸時,校正方法可用 (A)木樁校正法 (B)縱轉法 (C)半半校正法 (D)距離校正法 。
39. 水準儀視準軸之校正目的在使 (A)十字絲之橫絲水平 (B)視準軸與垂直軸平行 (C)視準軸與水準軸平行 (D)十字絲直立之改正 。
40. 定鏡水準儀需要校正的部份為:A 十字絲、B 水準管、C 視準軸,檢校之順序應依 (A)ABC (B)CBA (C)CAB (D)ACB 。
41. 水準測量不能藉前後視距離相等消除之誤差為 (A)儀器下陷所引起之誤差 (B)視準軸不平行於水準管軸之誤差 (C)地球弧面差 (D)大氣折光差 。
42. AB 兩點之高程分別為 30m 及 35m,實地距離為 200m,下列敘述何者錯誤? (A)AB 之平距為 199.937m (B)AB 高差為 5m (C)AB 之垂直角為 1°25'57".2 (D)AB 之坡度為 5% 。
43. 水準儀之加裝平行玻璃板,其目的在 (A)避免陽光照射 (B)增加清晰度 (C)增進定平速度 (D)精確讀定標尺讀數 。
44. 用於精密水準測量之標尺為 (A)覘板式標尺 (B)抽出式標尺 (C)銦鋼標尺(D)摺疊式標尺 。
45. 水準儀之視準軸與水準管軸之夾角為 3',若標尺置於 30m 外,則讀數誤差為 (A)26cm (B)2.6cm (C)3.6cm (D)36cm 。
46. 水準測量 a 段長 3 公里,b 段長 6 公里,c 段長 12 公里,則三段之權比值 Pa:Pb:Pc 等於 (A)3:6:12 (B)4:2:1 (C)1:2:4 (D)4:3:2 。
47. 水準測量之結果如下圖所示(箭頭表示進行方向),此水準網之閉合差為
(A)+0.009m (B)-0.012m (C)+10.527m (D)-10.527m 。
48. 水準測量分由三條路線 a、b、c,自 BM1 至 BM2,得結果如下表所示,則水準差之最或是值為:
(A)6.079m (B)6.081m (C)6.090m (D)6.083m 。
49. 二點距離為一公里,此二點之地球弧面差約為 (A)0.07m (B)0.7m (C)0.05m (D)0.5m 。
50. 使用精密水準儀作精密水準測量時,能測得之最小估讀數通常為 (A)0.1㎜ (B)0.01 ㎜ (C)1 ㎜ (D)0.001 ㎜ 。
申論題 (0)
相關試卷
114年 - 04202 測量─工程測量 甲級 工作項目 05:變形測量 1-27(2025/10/28 更新)#132652
114年 · #132652
114年 - 04202 測量─工程測量 甲級 工作項目 04:應用測量 151-208(2025/10/28 更新)#132651
114年 · #132651
114年 - 04202 測量─工程測量 甲級 工作項目 04:應用測量 101-150(2025/10/28 更新)#132650
114年 · #132650
114年 - 04202 測量─工程測量 甲級 工作項目 04:應用測量 51-100(2025/10/28 更新)#132649
114年 · #132649
114年 - 04202 測量─工程測量 甲級 工作項目 04:應用測量 1-50(2025/10/28 更新)#132648
114年 · #132648
114年 - 04202 測量─工程測量 甲級 工作項目 03:空間資訊 51-84(2025/10/28 更新)#132647
114年 · #132647
114年 - 04202 測量─工程測量 甲級 工作項目 03:空間資訊 1-50(2025/10/28 更新)#132646
114年 · #132646
114年 - 04202 測量─工程測量 甲級 工作項目 02:天文方位測量 1-54(2025/10/28 更新)#132645
114年 · #132645
114年 - 04202 測量─工程測量 甲級 工作項目 01:控制測量 201-247(2025/10/28 更新)#132644
114年 · #132644
114年 - 04202 測量─工程測量 甲級 工作項目 01:控制測量 151-200(2025/10/28 更新)#132643
114年 · #132643