阿摩線上測驗
登入
首頁
>
技檢◆測量-工程測量-甲級
> 114年 - 04202 測量─工程測量 甲級 工作項目 01:控制測量 51-100(2025/10/28 更新)#132641
114年 - 04202 測量─工程測量 甲級 工作項目 01:控制測量 51-100(2025/10/28 更新)#132641
科目:
技檢◆測量-工程測量-甲級 |
年份:
114年 |
選擇題數:
50 |
申論題數:
0
試卷資訊
所屬科目:
技檢◆測量-工程測量-甲級
選擇題 (50)
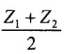
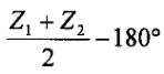
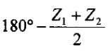
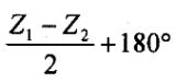
51. 垂直度盤為天頂距式之經緯儀中,如用其正鏡測得天頂距讀數為 Z
1
,倒鏡時同一目標讀數為 Z
2
。則平均之天頂距 Z 應為 (A)
(B)
(C)
(D)
。
52. A 點 XY 坐標為(2000,3000),B 點 XY 坐標為(4000,2000),AB 之方位角是 (A)116°33'54" (B)120°33'54" (C)153°26'06" (D)63°26'06" 。
53. 使用經緯儀觀測水平角時,用正倒鏡觀測不能消除 (A)望遠鏡之偏心誤差 (B)水平軸誤差 (C)視準軸誤差 (D)垂直軸誤差 。
54. 造高覘標時,下述何者情形不應發生? (A)覘標心柱要垂直且中心與標石中心一致 (B)基柱方向不能妨礙應行觀測之方向 (C)覆板最下邊應保持水平 (D)高覘標之內外架可以相接 。
55. 精密水準儀與普通水準儀比較,相同處是 (A)水準管之靈敏度 (B)望遠鏡性能 (C)皆可為自動水準儀 (D)物鏡前皆裝有平行玻璃板 。
56. 於斜坡地施測精密水準測量,置於上坡之標尺讀數為避免地面不規則折光差,通常規定不得小於多少㎝? (A)10 (B)30 (C)60 (D)90 。
57. 精密水準測量時,應使前後視距離相等,但此一作法亦無法消除 (A)折光差 (B)視準軸之傾斜差 (C)地球曲率差 (D)儀器及標尺之下陷誤差 。
58. 樁號 A 之 E、N 坐標為(200,300),B 之 E、N 坐標為(500,700),C 在AB 直線上,實量得 AC 之距離為 300m,則 C 之橫坐標為 (A)350m (B)370m (C)380m (D)400m 。
59. 採用羅盤儀法則之結果,對角邊兩者之誤差皆有改正作用,但 (A)兩者相當 (B)角大於邊 (C)角小於邊 (D)視施測情況而定 。
60. 採用經緯儀法則之結果,對角邊兩者之誤差皆有改正作用,但 (A)兩者相當 (B)角大於邊 (C)角小於邊 (D)視施測情況而定 。
61. 四邊形 ABCD 之坐標分別為 A(0,0)、B(-100,200)、C(200,400)、D(100,-100),單位為公尺。此四邊形之面積為 (A)70,000m
2
(B)140,000m
2
(C)20,000m
2
(D)10,000m
2
。
62. 設視準軸已與橫軸垂直,且垂直軸亦處於垂直位置,只有橫軸不水平,而有 i 角之誤差,如觀測目標之垂直角為 h,則上述誤差影響水平方向之誤差為(i)時,則 (A)(i)=i tan h (B)(i)=i sin h (C)(i)=i cot h (D)(i)=i cosh 。
63. 一多邊形 ABCDE 如下圖示,E 站不能設置儀器,ABCD 四站皆能設置儀器,是以 ABCD 四站對 E 係作單向觀測,獨立條件數是
(A)1 (B)2 (C)3(D)4 。
64. 一三角網 ABCDE 如下圖示,五站皆可設置儀器,各邊均可施行雙向觀測。此一圖形之邊條件數為
(A)2 (B)3 (C)4 (D)5 。
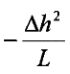
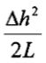
65. 以△h 表相鄰兩樁頂之高程差,L 表相鄰兩樁頂之斜距,則基線測量中之傾斜改正公式為 (A)
(B)
(C)
(D)
。
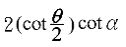
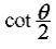
66. 於高度不同兩點 A 及 B,分別架設經緯儀及 2 公尺長之銦鋼橫距尺,儀器高與銦鋼橫距尺高相同。由經緯儀測得橫距尺兩端之夾角為θ,垂直角為α時,AB 兩點間之水平距離為 (A)
(B)
(C)
(D)
。
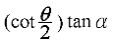
67. 於高度不同兩點 A 及 B,分別架設經緯儀及 2 公尺長之銦鋼橫距尺,儀器高與銦鋼橫距尺高相同。由經緯儀測得橫距尺兩端之夾角為θ,垂直角為α時,A、B 兩點間之高程差是 (A)
(B)
(C)
(D)
。
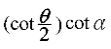
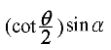
68. 以 R 表地球之平均半徑,L 表距平均海平面高程 h 處所測得之距離,則基線測量中之平均海平面歸化改正公式為 (A)
(B)
(C)
(D)
。
69. 導線量距與量角精度必須配合,如量距精度達 1/10000 時,量角精度應達到 (A)±10" (B)±20" (C)±30" (D)±40" 。
70. 在計算水準網容許閉合差之公式 C
中,K 表以公里計之距離,此一距離係指 (A)前視總距離 (B)後視總距離 (C)總距離平方 (D)往返測之單程公里數 。
71. 三角測量計算圖形強度(Figure Strength)公式中,有一項稱為獨立圖形條件數,係由角條件數,與邊條件數組成。若以 n'表示測角數,s'表示邊數,則角條件數為 (A)n'+s'-1 (B)n'-s'+1 (C)n'-s'-1 (D)n'+s'+1 。
72. 三角測量中,計算圖形強度(Figure Strength)公式中,有一項稱為獨立圖形條件數,係由角條件數,與邊條件數組成。若以 n 為圖形各邊之總數,s 為圖形內三角點之總數,則邊條件數為 (A)n-s+1 (B)n-s+3 (C)n-2s-3(D)n-2s+3 。
73. 三角測量中,有一三角形三點皆設置儀器作相互觀測,則此三角形之獨立圖形條件數是 (A)1 (B)2 (C)3 (D)4 。
74. 一四邊形三角網如下圖示,若 ABCD 四點皆設置儀器作對向觀測,則此四邊形之獨立圖形條件數是
(A)2 (B)3 (C)4 (D)5 。
75. 一四邊形三角網如下圖示,若只在 ABC 三點設置儀器作對向觀測,D點不設置儀器,則四邊形之獨立圖形條件數是
(A)1 (B)2 (C)3 (D)4 。
76. 一四邊形三角網如下圖示,若 ABCD 四點皆設置儀器作對向觀測,但BD 間有障礙,無法作對向觀測,此時之獨立圖形條件數是
(A)1 (B)2 (C)3 (D)4 。
77. 作三角測量時,欲測定補點,倘遇三個三角點皆不方便前往設置儀器觀測,可用 (A)前方交會法 (B)側方交會法 (C)後方交會法 (D)雙點定位法 。
78. 已知 A、B 兩點之 XY 坐標如下:A(3762.464m,1739.812m),B(4106.732m,1804.964m),由上述資料得到 AB 之距離是 (A)350.549m (B)350.379m (C)350.461m (D)350.449m 。
79. 已知 A、B 兩點之 XY 坐標如下:A(3762.464m,1739.812m),B(4106.732m,1804.964m),由上述資料得到 AB 之方位角是 (A)79°17'01"(B)79°25'25" (C)10°43'30" (D)10°35'35" 。
80. 已知 A、B 兩點之 XY 坐標如下:A(3762.464m,1739.812m),B(4106.732m,1804.964m),C 在 AB 直線上,實量得
=227.643m,由上述資料得到 C 點之 X(橫)坐標是 (A)3974.123m (B)3982.468m (C)3986.137m (D)3990.224m 。
81. 已知 A、B 兩點之 E、N 坐標如下:A(3762.464m,1739.812m),B(4106.732m,1804.964m),C 在 AB 直線上,實量得
=227.643m,由上述資料得到 C 點之 N(縱)坐標是 (A)1782.142m (B)1783.446m (C)1784.114m (D)1784.409m 。
82. 大氣折光差比地球弧面差 (A)大 (B)小 (C)相等 (D)視地區而定 。
83. 地球弧面差與觀測距離 (A)成正比 (B)成反比 (C)平方成正比 (D)平方成反比 。
84. 造成大氣折光差之主要原因乃是 (A)大氣使得光線彎曲 (B)觀測係在地面而非地心 (C)望遠鏡調焦不準確 (D)在望遠鏡視界中之光線分佈不勻 。
85. 用基線尺量得 AB 兩點距離為 100 公尺,AB 兩點高差為 2 公尺。其傾斜改正值為 (A)-10 ㎜ (B)-15 ㎜ (C)-20 ㎜ (D)-30 ㎜ 。
86. 一銦鋼尺在 20℃時之標準長度為 100 公尺,今用此尺量出兩點距離為400 公尺,施測時之溫度為 15℃。若此尺之膨脹係數為 0.0000003 時,該兩點之真正長度為 (A)400.0002 公尺 (B)400.0006 公尺 (C)399.9998 公尺 (D)399.9994 公尺 。
87. 考慮三角網圖形強弱因數之原因,乃是 (A)為施測方便 (B)使圖形形狀相似,便於展開 (C)使得邊長計算誤差受圖形影響達到極小 (D)需使控制範圍達到極大 。
88. 在三角測量中,不能有太小角度,因 (A)會增加讀數時間 (B)角度誤差大(C)對點不易準確 (D)加大圖形強弱因數 。
89. 如下圖示,量得 B 站偏角 40°左,C 站偏角 50°右,若 AB 方位角為 30°,則 DC 方位角為
(A)40° (B)60° (C)220° (D)240° 。
90. 如下圖示一水準環線,B.m.A 之高程為 48.603m,作水準測量後,分別測得 B、C、D、A 之高程為 59.462m、78.644m、46.132m 及48.573m,各點相距之距離如圖所示,則 B 點平差改正後之高程值為
(A)59.463m (B)59.465m (C)59.468m (D)59.471m 。
91. 如下圖示一水準環線,BM.A 之高程為 48.603m,作水準測量後,分別測得 B、C、D、A 之高程為 59.462m、78.644m、46.132m 及48.573m,各點相距之距離在圖上示出,C 點經平差改正後之高程應為
(A)78.656m (B)78.674m (C)78.614m (D)78.632m 。
92. 如下圖示一水準環線,A 點之高程為 48.603m,作水準測量後,分別測得 B、C、D、A 之高程為 59.462m、78.644m、46.132m 及 48.573m,各點相距之距離在圖上示出,D 點經平差改正後之高程應為
(A)46.256m(B)46.156m (C)46.108m (D)46.102m 。
93. 方向觀測法需施測數測回,每測回之原方向皆須變換度盤讀數,其原因乃是要消除 (A)水準管軸不水平所生之誤差 (B)視準軸不與橫軸垂直所生之誤差 (C)儀器偏心所生之偏差 (D)度盤之刻度誤差 。
94. 一閉合導線全長為 1264.768m,作平差計算時,發現其結果有橫距代數和 0.30m,縱距代數和為-0.40m,此一導線之精度約為 (A)1/2500 (B)1/2800 (C)1/3200 (D)1/3800 。
95. 欲使大氣折光差減至最小,一等及二等三角測量通常要在______施測。 (A)夜間 (B)上午 (C)下午 (D)黃昏
96. 使用銦鋼橫距尺測兩點高程差時,如經緯儀與橫距尺設置之高度相同。觀測及計算後,求得之距離為 S,垂直角為α,則兩點之高程差應為(A)S sinα (B)S tanα (C)S cosα (D)S cotα 。
97. 導線點之起點、終點分別連於不同已知點者,稱為 (A)閉合導線 (B)附合導線 (C)自由展開導線 (D)導線網 。
98. 下列何者不是四邊形鎖之近似平差條件? (A)四邊形角條件 (B)對頂角角條件 (C)中心站條件 (D)邊條件 。
99. 四邊形鎖之三角測量,最多可測之水平角數為 (A)8 (B)10 (C)12 (D)6 。
100. 平面三角測量中,已知∠A=24°36'21",∠B=47°43'35",∠C=107°39'58",則各角度之改正值為 (A)+6" (B)-6" (C)+2" (D)-2" 。
申論題 (0)
相關試卷
114年 - 04202 測量─工程測量 甲級 工作項目 05:變形測量 1-27(2025/10/28 更新)#132652
114年 · #132652
114年 - 04202 測量─工程測量 甲級 工作項目 04:應用測量 151-208(2025/10/28 更新)#132651
114年 · #132651
114年 - 04202 測量─工程測量 甲級 工作項目 04:應用測量 101-150(2025/10/28 更新)#132650
114年 · #132650
114年 - 04202 測量─工程測量 甲級 工作項目 04:應用測量 51-100(2025/10/28 更新)#132649
114年 · #132649
114年 - 04202 測量─工程測量 甲級 工作項目 04:應用測量 1-50(2025/10/28 更新)#132648
114年 · #132648
114年 - 04202 測量─工程測量 甲級 工作項目 03:空間資訊 51-84(2025/10/28 更新)#132647
114年 · #132647
114年 - 04202 測量─工程測量 甲級 工作項目 03:空間資訊 1-50(2025/10/28 更新)#132646
114年 · #132646
114年 - 04202 測量─工程測量 甲級 工作項目 02:天文方位測量 1-54(2025/10/28 更新)#132645
114年 · #132645
114年 - 04202 測量─工程測量 甲級 工作項目 01:控制測量 201-247(2025/10/28 更新)#132644
114年 · #132644
114年 - 04202 測量─工程測量 甲級 工作項目 01:控制測量 151-200(2025/10/28 更新)#132643
114年 · #132643