所屬科目:教甄◆理化專業
1. 資優班王老師根據學生的專長與優勢進行了加深加廣教學設計,並讓學生探索、發現新的可 能,以激發學生的高層次思考,依照資優學生課程調整的面向,王老師的課程調整包含下列哪些調整?
甲、學習內容 乙、學習歷程 丙、學習環境 丁、學習評量 (A)甲乙 (B)丙丁 (C)甲丙 (D)乙丁
2. 下列何者並 非 「成就導向模式」(Achievement Orientation Model)(Seigle, McCoach, & Roberts,2017)中影響學習動機的要素? (A)環境感知 (B)目標評價 (C)自我調節 (D)自我效能
3. 小莉是一位兼有學習障礙的資優班學生,喜歡數學,很有創意,不過除了數學,其餘科目的表現不太理想,不喜歡寫作業,閱讀速度慢且常常搞錯符號、念錯字,有時會感到挫敗而沒 有自信。身為小莉的輔導老師,以下的教學輔導策略,哪些較為適切?
甲、支持小莉持續學習數學並進行數學的專題研究
乙、提醒小莉要花時間平均念每一個科目以免成績不佳
丙、課堂上鼓勵小莉發表自己的想法,展現其創意、建立自信
丁、提供機會讓小莉多多練習閱讀與口語發表,加強識字訓練 (A)甲丙 (B)甲丁 (C)乙丙 (D)乙丁
4. 今年帶剛入學的七年級資優班洪老師發現,這些新生進入國中後感覺課業變多也變難,常覺得喘不過氣,也因為剛入國中,對班上同學感到陌生而疏遠,但不知道該如何和家裡說,根據學生目前的狀態,洪老師所規劃的情意發展課程方向,以下哪些較為適切?
甲、 學校適應 乙、壓力調適 丙、能力成就與期待 丁、生涯試探與規劃 (A)甲乙 (B)甲丙 (C)乙丁 (D)丙丁
5. 資優班花老師為學生規劃個別輔導計畫(IGP)時,會參考公告在學校網站的課程計畫進行訂定。依據規定,下列哪些作法較為適切?
甲、教師可先掌握學生的基本資料與優弱勢能力,以進行區分性課程設計
乙、宜直接將事先擬訂並公告的資優課程與其教育目標,放入學生 IGP 中
丙、宜於學生開學後一個月內擬訂初步的 IGP,包含學年學期目標的訂定
丁、宜掌握學生的優勢能力與興趣,依其需求進行學習內容、歷程等調整 (A)甲乙 (B)甲丁 (C)乙丙 (D)丙丁
6. 依據 Dabrowski 的正向非統整理論,個體的情緒發展會經過不斷的內在衝突而再次統整,並 進入高一層的階段,從初期自我為中心、缺乏同理的階段,到產生內外在衝突、不斷尋找方 向,最後產生自我的價值體系。其中,多數資優學生因有「自主」因素的內在驅力而與普通 學生不同,主要會從下列哪一個階段開始產生變化? (A)單一階層的非統整階段 (B)次級統整階段 (C)組織化的多階層非統整階段 (D)自發性的多階層非統整階段
7. 資優班趙老師在領導才能課程中引導學生觀察團隊成員彼此的優點並加以學習,且肯定成員 執行任務的能力,以同理心與成員溝通互動。根據領綱,這是屬於領導才能中哪一種向度及 其內涵? (A)任務導向 (B)關係導向 (C)變革導向 (D)應變導向
8. 東西國中資優班於七、八年級皆會規劃獨立研究課程,以引導學生根據自己的興趣主題進行研究。七年級資優班楊老師開始規劃獨立研究課程,其課程主題與方向,以下哪些較為適切?
甲、提供學長姐的獨立研究報告供學生研讀
乙、讓學生自選主題擬訂計畫,進行獨立研究
丙、透過特定議題引導學生學習探究技巧與方向
丁、結合時事,引導學生從中發現問題,確定研究方向 (A)甲乙丙 (B)甲乙丁 (C)甲丙丁 (D)乙丙丁
9. 資優班勁富老師和同領域數學老師合作,開發彈性學習數學課程計畫,包含教材與教學策略, 此計畫須經由該校課程評鑑小組審議,並給予回饋意見。這樣的作法較符合下列何者敘述? (A)課程規劃之評鑑,外部評鑑 (B)課程設計之評鑑,內部評鑑 (C)課程實施之評鑑,內部評鑑 (D)課程效果之評鑑,外部評鑑
10. 以下關於評量的理念敘述,何者較 不 適切? (A)教師採用深度學習的 6C 評分規準引導學生自評防疫措施專題,培養學生自我監控的 能力,屬於「評量即學習」(assessment as learning) (B)教師利用測驗獲得學生對酒精化學性質的理解後,給予學生分數等第,屬於「學習的 評量」(assessment of learning) (C)老師分析學生對酒精化學性質的迷思概念,並予以學習回饋,屬於「促進學習的評量」 (assessment for learning) (D)老師先以紙筆測驗評量學生對酒精化學性質的理解,在再進行區分性教學,屬於「評 量即學習」(assessment as learning)
11. 在學習環境調整中有關「回應性的學習環境」的描述,下列何者較 不 適切? (A)學生可根據自己的表現自我評量 (B)提供安全、接納且尊重的學習環境 (C)提供多元且不同難易度的教材供選擇 (D)給予學生大量的分組討論與競賽的機會
12. 小月是一位中度聽覺障礙的學生,他參加資優鑑定時提出考試服務,有關考試服務審查的程 序,下列作法何者較 不 適切? (A)考量小月的聽力限制,同意小月免考英聽而用閱讀測驗替代 (B)念指導語時提供必要的文字提醒、提示或引導,以便充分了解 (C)對於採唸讀為主的分測驗,宜用其他項目或改變測驗方式取代 (D)允許配戴助聽器,並將相關的型號、助聽器外觀提供給主辦單位
13. 小霖是新北市國中七年級的數理資優生,數學表現極佳,也有超前學習,老師鼓勵他參加免 修鑑定。有關縮短修業年限的申請、審查與輔導程序,下列哪些作法較符合法令的規定? 甲、由小霖的家長經考慮同意後向學校提出申請
乙、由學校針對小霖數學的精熟程度採多元評量評估
丙、學校將小霖鑑定的資料彙整,送教育局審查後始可實施
丁、將小霖通過縮短修業年限後之需求與服務列入個別輔導計畫 (A)甲乙 (B)甲丙 (C)乙丁 (D)丙丁
14. 依據「才能發展巨型模式」,下列何者 不 屬於「認知自我調整」: (A)專心致志 (B)適當的練習策略 (C)可教導性 (D)目標設定
15. 允倉老師採用「才能發展巨型模式」,引導學生分析「飛躍的羚羊」紀政女士的田徑運動員 才能發展歷程。下列何者敘述較符合該模式的內涵? (A)運動員從專業表現邁向傑出巔峰時,圈內人知識是重要的心理社會技能 (B)運動員屬於「產出型」傑出人物 (C)運動員發展歷程會先是將素養發展為能力,再精進能力為專業表現 (D)教練訓練運動員時,比較適合在技術學習中引發學生興趣
16. 允倉老師的班上有一位資優生,對學習缺乏挑戰心,常感覺到自己沒有充分能力完成資優班 的學習任務,對未來生涯缺乏憧憬。這位學生較 缺乏 下列哪一項心理社會技能? (A)與兩難共處 (B)心理韌性 (C)自我效能與自信 (D)焦慮管理
17. 液體由半徑較大的圓管流入一個半徑較小的圓管,若流入之 前粗圓管中有氣泡,當流入小圓管後會有何種現象? (A)氣泡體積縮小 (B)氣泡體積不變 (C)氣泡體積增加 (D)氣泡先縮小再消失
18. 就理想氣體分子運動論的觀點而言,下列敘述何者正確? (A)每個氣體分子的動能皆為 3 / 2 kT (B)氣體密度很小,是因為氣體分子運動速度很慢造成的 (C)氣體分子運動所造成的壓力,是因為氣體分子受重力而形成的,與氣體分子質量大小 成正比 (D)氣體分子對器壁的碰撞是完全彈性的,且每次碰撞的時間間隔內,分子運動可視為等 速直線運動
19. 下列關於量子物理的發展中的關鍵現象與歷史背景何者為真? (A)馬克斯普朗克(Max Planck)提出能量量子化的概念,進而可以很好地描述黑體輻射 測量結果 (B)波耳(Niels Bohr)是最早觀測到氫原子光譜的人 (C)愛因斯坦(Albert Einstein)利用光電效應解釋波粒二象性(Wave–Particle Duality) (D)拉塞福原子模型(Rutherford atomic mode)可以正確解釋氫原子光譜
20. 質量為 2.0 公斤的物體,懸掛在力常數為 100 N / m 的彈簧下靜止平衡,那麼儲存在彈簧 裡的彈性位能為多少?(重力加速度為 10 m / s2) (A)5.0 J (B)4.0 J (C)3.0 J (D)2.0 J
21. 一根磁棒由上而下以等速度 v 通過一線圈,如下圖所示,在時刻 t1, 磁棒的中心恰通過線圈。若由上方俯視線圈,感應電流以逆時針方向為正,則磁棒剛進入線圈至完全脫離線圈,其電流隨時間的關係圖為下列何者?
(A)(B)(C) (D)
22. 下圖中,R=65.0 Ω 電阻連接在 a、b 間電動勢為 12.0 V 的電池上, 該電池內電阻 r 為 0.5 Ω,那麼電阻 R 的功率消耗為多少?
(A)2.18 W (B)2.08 W (C)1.98 W (D)1.88 W
23. 以物理演示實驗探討地球磁場是否可對帶電玻璃棒運動方向造成 改變。實驗先以絲綢擦拭管徑很細的玻璃棒,使玻璃棒帶 20 nC 正電荷。實驗教室的地球 磁場為 5.0 × T,方向為平行地面的北方。若以 10 m / s 與地面平行的速度,向西投擲 玻璃棒,則地球磁場對帶電玻璃棒的作用力多大? (A)1.00 × 102 N (B)1.00 × N (C)1.00 × N (D)1.00 × N
24. 某軍隊日前舉行實彈演習,其一門大砲在高 260 m 之懸崖邊,向海面射擊,初速為 40 m /s, 仰角 37°,恰可擊中海面的假想敵,假設 g=10 m / s2。則砲彈需要飛行幾秒後可擊中假想 敵? (A)4 (B)6 (C)8 (D)10
25. 如下圖所示,質量 mA = 10.0 kg 的箱子 A 放在水平桌面上,並通過一細繩繞過無摩擦滑輪與懸掛質量 mB = 12.0 kg 的箱子 B 相連。已知箱子 A 與 桌面之間的動摩擦係數為 = 0.20,且重力加速度取 g ≈ 9.8 m / s2。若釋放兩箱子使系統開始運動,請問箱子 B(亦即懸掛者) 以及箱子 A 的共同加速度約為下列何者?
(A)3.9 m/s2 (B)4.5 m/s2 (C)4.8 m/s2 (D)5.2 m/s2
26. 某星球 A 的質量約是地球的 81 倍,其半徑約為地球的 3 倍,假設有一衛星以相同的半徑 R 分別環繞某星球 A 與地球做等速率圓周運動,此衛星環繞某星球 A 的運動速率為環繞地球 運動速率的多少倍? (A)3 (B)6 (C)9 (D)27
27. 右圖為質譜儀的簡圖,有一平行電板所形成的均勻電場 E,在其右方有一片具有小孔洞的隔板,可讓沒偏向的 帶電粒子通過此小孔,且整個儀器置於穿入紙面的磁場 B 中。當有一帶電為 q 的粒子以未知的初速進入此裝置 中,恰好可以通過位於平行電板右方的阻隔板上的小孔洞,並可落在離小孔距離為 d 的地方,如圖所示。假設重力忽略不計,此粒子的質量為何? (A)(B)(C)(D)
28. 假設利用 532 nm 進行雙狹縫干涉實驗,已知兩狹縫之間的距離 d = 0.1 mm,狹縫距屏幕為1 公尺,求兩暗紋之間的間隔為多少? (A)0.13 cm (B)0.27 cm (C)0.53 cm (D)1.10 cm
29. 某校「再生能源社」想利用變動磁場產生感應電流,為偏遠山區的小型氣象站提供短暫備用 電力。他們把一組正方形線圈固定在可調式磁鐵下方。線圈邊長 ℓ = 0.40 m,共有 N = 500 匝,總電阻 R = 10 Ω。實驗時,社團同學將磁鐵與線圈的距離迅速拉遠,使穿過線圈的垂直 磁場強度在 3.0 s 內,由 2.2 T 均勻減弱至 1.4 T。線圈所產生的感應電流經整流後儲存在 超級電容中,作為雨量感測器的備援電源。若要確保電容器能在短時間內獲得足夠能量,線 圈中的感應電流至少須達 2.0A。根據上述情境,在磁場變化過程中線圈內實際產生的感應 電流大小最接近下列何者? (A)0.8 A (B)1.1 A (C)1.7 A (D)2.1 A
30. 當今社會上有許多根據光電效應原理所設計的電子產品,如光電倍增管、夜視鏡等。光電效 應主要是在描述當合適的光線照射在特定的金屬表面上(在光子能量大於金屬功函數的條件 下),可使電子自此金屬表面脫離出來的現象。如今有波長 350 nm 的紫外光照射在功函數為2.0 eV 的鉀金屬膜上,所產生的電子之動能為多少 eV? (A)1.54 (B)2.54 (C)3.54 (D)4.54
31. 以 V0 之初速斜向拋出一球,於運動過程中,速度最小值為 ,則此球可上升的最大高度 為何?(g 為重力加速度) (A)(B)(C)(D)
32. 近年來 AI 的應用在各領域帶來全面性的進步,對於高 速算力的需求也越來越大,晶片設計也逐漸引入光訊號 傳輸的概念來實現更高頻、更快速與更節能的數據傳輸 運算能力,其中光波導與光纖設計也會是很重要的一個環節。下圖為光入射光纖的剖面示意圖,N1 與 N2 為兩種材料的折射率,光以 θ 角度入射光纖,如果要能夠順 利傳遞光訊號的話,其 sin θ 值的範圍為多少?
(A)(B)(C)√N1≥sin θ≥√N2(D)sin θ≥
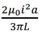
33. 如圖所示,甲、乙、丙三長直導線載有相等的電流 i,其電流方向均 為由北向南,乙導線會受到甲與丙導線之電流產生的磁場作用,乙導 線分別受到甲與丙導線的磁力作用,假設乙導線長度為 a,試問其最終所受合磁力的大小為何?(μ0 為真空磁導率 permeability)
(A)(B)(C)(D)
34. 若要使得甲酸鈉與甲酸構成的緩衝液之 pH 為 3.80,則需讓/[HCOOH]之比例 維持在多少?(註:平衡常數 K=1.77 x M) (A)2 (B)1 (C)0.5 (D)0.1
35. 電解硫酸銅(II)水溶液,以 100 安培的穩定電流通電 1 小時,試問約可產生多少克元素銅? (A)60 (B)120 (C)240 (D)360
36. 25℃環境下,試計算 HCl(g)形成的標準狀態熵(ΔSfo)為多少? (註:25 ℃ 時,的絕對標準狀態熵為 186.8,的絕對標準狀態熵為 130.57,的絕對標準狀態熵為 222.96) (A)10.04 (B)20.07 (C)-20.07 (D)-166.73
37. 化學反應的發生若以碰撞學說(collision theory)來看,下列敘述何者為 非 ? (A)碰撞發生需要足夠能量使外殼電子彼此穿透,致使價電子重排 (B)分子碰撞時要發生反應,需要帶有足夠能量且超過反應活化能時,反應才會發生 (C)化學反應發生只要原子、離子或分子間互撞能量足夠即可,與其互撞方位性無關 (D)碰撞後電子的轉移或是共享必須要有能夠存在的結構,亦即要有一穩定的鍵結或新穩 定狀態形成
38. 有一個理想的氣泡由湖泊的底端(壓力 6.4 atm、溫度攝氏 8 度)上升到湖泊的表面(壓力1.0 atm、溫度攝氏 25 度)。若此氣泡的初始體積為 2.1 mL,試問最後上升到湖泊表面的氣泡體積是多少 mL? (A)21 (B)42 (C)28 (D)14
39. 下列敘述何者為亨德原理(Hund principle)? (A)沒有兩個電子會有相同的四種量子數,即:主量子數(n)、角動量量子數(l)、磁量子 數(m)與旋量子數(ms) (B)一個軌道中的電子其角動量已經被量子化且必是 h / 2π 的整數倍(h 為 Planck 常數) (C)等能量的軌域,在第二個相反的旋量子數(ms)的電子進入軌域前,每一個軌域都要 被一個電子所佔用 (D)原子中一個電子正確的動量無法精確地測出
40. 0.010M 碘化鉀(KI)溶液在攝氏 25 度時所量測到的滲透壓為 0.465atm,試計算碘化鉀在此 濃度時的凡特何夫因子(van’t Hoff factor)為何? (A)0.224 (B)0.019 (C)22.683 (D)1.900
41. 下列敘述何者為 非 ? (A)純物質在其標準狀態時的標準生成焓(enthalpy)為零 (B)一個系統內的內能(internal energy)增加可能使溫度增加、產生相變化或發生化學反 應 (C)赫斯定律(Hess’law):化學反應的總熱含量變化與反應途徑有關,受到反應中間步驟 的多寡以及本性所影響 (D)從氣態原子或離子中移去一個電子所需要的焓叫做游離能(ionization energy)
42. 下列何者為弱電解質? (A)Sr(OH)2 (B)HI (C)H2SO3 (D)C3H8O3
43. 下列氧化還原反應於鹼性溶液中進行,
(未平衡),試問平衡後,需於此反應式的何 處加上 H2O 分子?且其係數為何? (A)右邊,係數為 4 (B)右邊,係數為 5 (C)左邊,係數為 4 (D)左邊,係數為 5
44. 鈷-60 於臨床上常作為放射治療的射源,鈷-60 衰變後射出 β 及 γ 射線。關於衰變後的 原子核,下列描述何者是 錯誤 的? (A)導致中子/質子比值減少 (B)導致中子數減少 (C)導致質子數增加 (D)導致質量數增加
45. 下列敘述何者正確? (A)化學反應速率的平均速率是濃度與時間關係曲線上點的切線 (B)當兩反應分子逐漸接近,直至能量途徑之能量值達活化能頂時,即形成過渡狀態 (transition state)並產生活化複體(activated complex),其乃連繫反應物與生成物的 中間物 (C)化學反應機構中最快的一步,稱為速率決定步驟(rate-determining step) (D)催化劑(catalyst)即能增加化學反應速率,且反應完成後能恢復原來形式結構的物質。 透過催化劑的幫助,能引發一個原本不會進行的反應
46. 下列何者的化學鍵屬於離子鍵? (A)KF (B)HF (C)HCl (D)H3CCH3 中的碳碳鍵
47. 1.83 克的 Al2(SO4)3 水合物經加熱至水蒸氣不再被趕出為止(即重量不再有變化),無水物的重量為 0.94 克,試問此水合物的化學式為何?
(註:Al2(SO4)3 分子量為 342.14 g / mol) (A)Al2(SO4)3•3H2O (B)Al2(SO4)3•6H2O (C)Al2(SO4)3•12H2O (D)Al2(SO4)3•18H2O
48. 將 53.8 克之血紅素溶於水配製成 1 公升的溶液,此溶液在 25℃ 時的滲透壓為 10 mmHg, 試問所使用之血紅素分子量約為多少 g / mol? (A)1.0 x 105 (B)1.0 x 107 (C)8.5 x 103 (D)8.5 x 105
49. 某一元素在基態時的電子組態為 1s22s22p63s23p64s13d5,試問該元素為何? (A)Zr (B)Cr (C)Sr (D)Kr
50. 關於分子沸點與熔點之大小順序之敘述,哪一項是正確的? (A)新戊烷沸點最低,是因其極性最小 (B)新戊烷熔點最高,是因其分子形狀最對稱 (C)異戊烷熔點最低,是因為其接觸面積最小 (D)正戊烷沸點最高,是因其分子形狀最對稱