所屬科目:教甄◆理化專業
51. 甲、乙兩衛星分別環繞地球做等速率圓周運動,已知兩者的週期比值為 27:1,則兩者的速率比值為何? (A) 1:3 (B) 1:9 (C) 1:27(D) 1:81
52. 已知地球繞太陽運行的軌跡為橢圓形,試問: 地球在哪一位置時其加速度值最大? (A) 近日點 (B) 遠日點 (C) 都一樣(D) 以上皆非
53. 一光滑無摩擦的水平桌面上有質量 2kg 與 1kg 的甲、 乙兩木塊,中間以彈力常數 k= 2N/cm 的彈簧連結, 甲木塊在左、乙木塊在右。現在施一水平向右推力 F=12N 於甲木塊上,使兩木塊一起向右運動。當彈簧平衡時,此時彈簧的形變量為何? (A) 壓縮 1cm (B) 壓縮 2cm (C) 壓縮 3cm(D) 壓縮 4cm
54. 質量m之A 球與靜止之B 球作正向完全彈性碰撞後,A 球動能剩下1/9,則B 球質量為多少m? (A) 1/4 (B) 1/3 (C) 1/2(D) 2/3
55. 以波長為 λ 的光照射某金屬表面,所放出電子的最大動能為 T。若改用波長為 λ/3 的光照射,則所放出電子的最大動能為 4T。試問 T 為何? (A) hc/3λ (B) 2hc/3λ (C) 3hc/4λ(D) 4hc/5λ
56. 若一氣泡在 30 公尺深的湖底處,其體積為 1 公 升,則當該氣泡浮至水面時,其體積變為多少公升? (假定湖底與水面等溫,且湖面為 1 大氣壓) (A) 1 (B) 2 (C) 3(D) 4 公升
57. 一變壓器,充電底座線圈匝數為 550 匝,外接 110V 的電壓。若要輸出 5.0V 的電壓,內部線圈匝數應為何? (A) 25 匝 (B) 10 匝 (C) 110 匝(D) 2750 匝
58. 質量 2 公噸的貨車,在道路上以 72 公里/小時的速度行駛,駕駛突然發現前方有車禍事故,因此貨車需 要在 4 秒內,在直線車道上煞車到停止,則煞車期間該貨車受到的平均摩擦力為多少牛頓? (A) 36 (B) 100 (C) 36000(D) 10000
59. 宜靜拿了兩個相同大小的金屬球,其中一個帶+8Q,另一個帶電-4Q,此時兩者之間的作用力為 4kgw;接著,宜靜將兩顆金屬球接觸後再分開,並放回原來的位置,請問兩者之間所產生的新作用力為多少 kgw? (A)4kgw (B)2kgw (C)1kgw(D)0.5kgw
60. 阿德將三根電阻比為 1:3:2 的電阻線並聯後,接於兩個串聯的電池兩極,請問流經每根電阻線電流比為何? (A)1:1:1 (B)1:3:2 (C)6:2:3(D)3:2:6
61. 翔翔與小珍分別站在兩個彈簧秤型的體重機上,翔翔體重顯示為 60kgw,小珍體重則為 50kgw,此時翔翔 將右手放在小珍肩膀上,並用力下壓 10kgw 的力,請問兩人的體重機會有何變化? (A)翔翔體重機讀數變成 50kgw (B)兩人體重機讀數都增加 10kgw (C)兩人體重機讀數都減少 10 kgw (D)兩人體重機讀數都不會變化
62. 佳佳和媽媽用電磁爐煮純水,佳佳觀察到純水達到沸點而開始冒泡後,純水的溫度就不再上升了,且水壺口開始冒出大量白煙。請問關於上述的現象,下列哪 一種說明是正確的? (A)水壺口冒出大量白煙,是一種物理變化 (B)純水冒泡沸騰後,溫度維持不變,是因為純水一旦達到沸點,就不會繼續吸收熱量 (C)純水沸騰後,溫度還是會持續上升超過 100 度,只 是因為水壺口也在散熱,所以溫度剛好平衡在 100 度 (D)水壺口冒出的大量白煙,就是所謂的水蒸氣
63. 一個質量 m=10.0g 的小球由靜止釋放到一黏滯力均 勻的流體中,因而使此小球除了受到重力 g = 10 m/s2外,還受到一個阻力 F = − bv,其中 b 為常數 v 為此小球的速率,如果忽略浮力,且當v =10.0 m/s 時其受力 F = 5.0✖10 −2 N,當此球到達終端速率 (terminal speed)時其速率值為? (A) 5 (B) 10 (C) 20(D) 40 m/s
64. 毓恩將電熱水壺與電壓 100V 的電源並聯,當電源開啟時,電流會通過電熱水壺的加熱棒,加熱棒會迅速 變熱,使水溫上升,水就可以煮沸了。已知水壺內加熱棒的電阻為 20 歐姆,請問要將 500c.c.的水從 20 度加熱到沸騰,需要多久時間呢?(1cal=4.2J) (A)336 秒 (B)250 秒 (C)1680 秒(D)542 秒
65. 「以卵擊石」是隱喻不自量力的意思,因為用雞蛋丟石頭,雞蛋有極大的比例會破裂,而石頭則毫髮無傷,請問在科學解釋上,用雞蛋丟石頭,為什麼幾乎總是雞蛋破裂呢? (A)因為雞蛋受到比較大的力 (B)雞蛋與石頭,兩者受力相同,但石頭硬度較大,所以石頭比較不會破裂 (C)雞蛋遭受撞擊時,若能把力集中在較小面積上,則同樣的力會使壓力變小,雞蛋比較不會破裂 (D)雞蛋殼的主要成分是二氧化矽,本身材質就非常容易破裂
66. 凱晉將同體積的鋁塊(密度 2.7 g/cm3)、鐵塊(密度 7.8 g/cm3)與木塊(密度 0.6 g/cm3),分別放在水銀(密度 13.6 g/cm3)中,結果發現上述三種物質都會浮在水銀上,根據浮力原理,請問上述哪一個物質所受的浮力最大? (A)鋁塊 (B)鐵塊 (C)木塊(D)一樣大
67. 若芳在進行凸透鏡成像實驗時,將一支點燃的蠟燭放置於凸透鏡前,並在透鏡後方的光屏上觀察到一個清 晰的倒立實像。當她將蠟燭逐漸靠近透鏡時,發現像 的位置和大小發生了變化。請問下列關於凸透鏡成像的敘述,何者正確? (A)當物體距離小於焦距時,成倒立放大的實像 (B)當物體距離等於焦距時,成正立放大的虛像 (C)當物體距離大於兩倍焦距時,成倒立縮小的實像 (D)當物體距離等於兩倍焦距時,成正立等大的實像
68. 在光滑平地上,置有 A、B、C 三個物體,其質量各為1 kg、2 kg、3 kg,一水平力推物體 A,如圖所示,則 AB 間作用力與 BC 間作用力之比為何? (A) 3:5 (B) 5:3 (C) 1:1(D) 1:3
69. 有一根弦,一端固定另一端跨於一滑輪之上並接著一質量為2.00 kg的磚塊。弦的長度為90 cm,質量為20.0 g。請問弦上橫波的速度為多少m/s?(g =10m/s2) (A) 25 (B) 30 (C) 40(D) 49
70. 一條載流長直導線放在一通有電流之螺線管內,若導線與螺線管中心軸重合,則在管內導線所受磁力情形,下列何者正確? (A)受磁力,與導線中之電流成反比 (B)受磁力,與導線中之電流平方成反比 (C)受磁力,與螺線管匝數多寡有關 (D)不受磁力
71. 一人重 60 kg,站在一重 30 kg 之平臺上,垂直拉下一繞過滑輪之繩索(如圖),設滑輪及繩索之摩擦與質量可略去不計,則此人至少要施力多少始能將平臺拉起? (A)90 kgw (B) 60 kgw (C) 45 kgw(D) 30 kgw
72. 一微波爐標示為 110 V-900 W,如要為此微波爐接一附有保險裝置的單獨插座,應選購電流值為若干安培的保險裝置,在使用此微波爐時較為安全? (A) 1 (B) 5 (C)10(D) 50
73. 將一小球由地面以 20 公尺∕秒的速度垂直上拋,重力加速度以 10 公尺∕秒 2計算,若拋出的速度加倍,則下列敘述何者正確? (A)落地時間與最大高度都隨著加倍 (B)落地時間隨著加倍,但最大高度不變 (C)落地時間隨著加倍,最大高度變 4 倍 (D)落地時間變 4 倍,最大高度隨著加倍
74. 電力輸送功率相同時,輸電電壓 V 愈高,電流 I 愈小,輸送電線耗電愈少。若輸送電線電阻為 R,則下列有關輸送電線本身所消耗之電功率 P 的計算式,何者正確? (A) P=IV (B) P=IR (C) (D) P=I2R
75. 若一救護車發出 700 Hz 的訊號。當車以速度 25 m/s 靠近地面一靜止觀察者,求觀察者聽到的頻率為多 Hz?(假設風速為 0m/s,聲速為 340 m/s。) (A) 649 (B) 700 (C) 756(D) 812
76. 下列何者不是鹼?(A) NaOH (B) C2H5OH(C) NH3(D) Ca(OH)2
77. 36 克水所含的原子數與下列哪一項所含的原子數相同?(原子量:He=4,N=14) (A) 3.84×1021 amu 氧氣 (B) 12 克氦氣 (C) 28 克氮氣(D) 88 克二氧化碳
78. 在反應:2A+B+C → 2D+E 中,分別測得反應物初濃度對 D 的生成速率關係圖(甲)、(乙)、(丙)如附圖,若以橫軸表濃度,比較當 [A]=1.0 M,[B]=2.0 M,[C]=3.0 M 時 D 的生成速率,為 [A]=3.0 M,[B]=2.0 M,[C]=1.0 M 時 A 的 消耗速率之若干倍? (A) (B) 1 (C)(D) 3
79. 若 27 ℃、1 升的氫氣和 127 ℃、2 升的氧氣壓力相等,則氫氣和氧氣的密度比為何(氫:氧)? (A) 1:3 (B) 1:4 (C) 1:6(D) 1:12
80. 從飲水機中倒出 90 ℃ 的熱開水 350 克於杯中,發覺太燙無法飲用,於是又加了 7 ℃、50 克的冰水,還是太燙,又從冰箱冷凍庫中取了 0 ℃、100 克的冰塊加入,待冰塊全部熔化後,水溫約變為多少 ℃? (已知水的比熱為 1 卡∕克 ℃,冰的熔化熱為 80 卡 ∕克) (A) 10 (B) 20 (C) 27(D) 48
81. 在硬試管內裝盛 4.90 克氯酸鉀和 2.00 克二氧化錳,加熱後依下列化學反應式反應:反應一段時間後,稱量硬試管內固體的重量為 5.94 克,則氯酸鉀有若干 % 分解?(原子量:O=16,Mn=55;式量:KClO3=122.5)(A) 80 (B) 75 (C) 70(D) 50
82. 亞鐵離子可用酸性二鉻酸鉀溶液加以滴定。上述反應 中,1 個二鉻酸根被還原,涉及幾個電子的轉移? (A) 2 (B) 3 (C) 6(D) 10
83. 鎂與硝酸反應:Mg+H++NO3 - → Mg2++NH4 ++H2O(未平衡),0.2 莫耳鎂完全溶解至少需要多少莫耳硝 酸? (A) 0.01 (B) 0.05 (C) 0.5(D) 0.8
84. 已知 H2S 的 Ka 1 和 Ka 2 分別為 4.0×10-7 和 6.0×10-13。 在 0.10 M H2S 溶液中,下列各物質的濃度何者正確? (A) [H+ ]=0.20 M (B) [HS- ]=0.10 M (C) [OH- ]=5.0×10-14 M(D) [S2-]=6.0×10-13 M
85. 下列圖示是不同化學分子的示意圖,其中●代表碳原 子,○代表氫原子,◎代表氧原子,請依照圖示推論 下列選項何者正確?
(A)甲為混合物 (B)乙為化合物 (C)1 莫耳甲與 2 莫耳乙,可以生成 1 莫耳丙與 1 莫耳丁 (D)丁為純物質
86. 佳恩取了試管、燒杯與滴管,進行鉻酸鉀(K₂CrO₄) 相關實驗,在燒杯中加入 10 mL、0.1 M 的鉻酸鉀溶 液後,觀察其顏色為黃色。接著依照指導老師建議, 於燒杯中依序進行以下操作:(1)滴入 1 M 強酸 H₂SO₄,發現溶液變為橙色;(2)再緩慢滴入 1 M 強鹼 NaOH,溶液逐漸又轉回黃色。請問這段實驗中所用到的藥品與觀察到的現象,哪一項敘述是錯誤的?(A)將 K₂CrO₄濃度增加到 1M,則 K₂CrO₄會從弱電解質變成強電解質(B)K₂CrO₄是一種鹽類(C)K₂CrO₄加入強酸或強鹼,會造成可逆反應的變化(D)滴入 H₂SO₄後,溶液變為橙色是因為鉻酸根(CrO₄²⁻)在酸性條件下會與 H⁺ 反應生成重鉻酸根(Cr₂O₇²⁻)
87. 近年來許多科學家認為,如果可以降低電解水的能源使用,並透過電解水取得氫氣與氧氣,則其產生的氫能將可能是未來世界重要的新興能源。下列關於電解水的相關敘述,何者錯誤? (A)電解水時會在陰極產生氫氣 (B)陰極與陽極產生的氣體體積約為 2:1 (C)陽極產生的氣體具有可燃性 (D)將陰極與陽極產生的氣體混合點火後,可以產生水
88. 根據氧化還原的定義,下列哪一個化學反應的變化需要還原劑的加入? (A)CO 變成 CO2 (B)Fe2O3變成 Fe (C)Mg 變成 Mg2+(D)H2燃燒變成水
89. 碘液是常用來檢測澱粉的簡易生活藥品,當碘液滴到澱粉上時,會從黃褐色變成藍黑色,但是若在藍黑色 液體中再加上維他命 C,則溶液會變成無色,請根據上述實驗反應現象,選出下列最合理的選項。(A)黃褐色的碘分子(I₂)與澱粉發生氧化還原反應,生成深藍色沉澱(B)維他命 C 可將碘(I₂)還原成碘離子(I⁻),使藍黑色褪去(C)維他命 C 是氧化劑,能還原 I₂ → I⁻,破壞澱粉碘複合物(D)維他命 C 與碘液的反應是屬於酸鹼中和反應
90. 鐵(Fe)的原子序為 26,當形成二價鐵離子(Fe²⁺)時,會失去最外層的兩個電子, 請問在 26Fe²⁺的電子組態中,3d 軌域上有幾個電子? (A)5 (B)6 (C)7(D)8
91. 台南官田地區的菱角產量佔全台七成,過去菱角殼被視為農業廢棄物,堆置或焚燒處理不僅造成環境污 染,也浪費資源。近年來,透過高溫低氧的碳化技術,將菱角殼轉化為生物炭(biochar),用於土壤改良和碳捕存,實現循環經濟與環境永續(參考資料https://reurl.cc/VYQAvR)。請問下列哪一項關於菱角殼製成生物炭的敘述最符合化學與應用科學的原 理? (A)菱角殼含有高木質素含量,可以成為高碳化率的原料,適合製作生物炭 (B)菱角殼碳化後的生物炭幾乎沒有雜質,可作為品質良好的燃料 (C)菱角殼在碳化過程中需大量添加化學催化劑以提高效率 (D)菱角殼碳化後的生物炭主要用於製作塑膠製品
92. 以下何者的鍵極性排列順序正確,由低至高排列?(A) Be—F、Mg—F、N—F、O—F(B) O—F、N—F、Be—F、Mg—F(C) O—F、Be—F、Mg—F、N—F(D) N—F、Be—F、Mg—F、O—F
93. 下列結構中哪些標記的原子是 sp2 混成的軌域?(A) 1 及 4 (B) 2 及 5 (C) 2 及 4(D) 2 及 3
94. 下列何者為造成糯米飯比蓬萊米飯更具黏性的主要原因?(A) 糯米含有較多的蛋白質成分(B) 糯米中的澱粉以支鏈澱粉為主,較易吸水膨脹形成黏性(C) 蓬萊米含有較高的脂肪含量,使飯較乾爽(D) 糯米在烹煮過程中會釋放較多水分導致黏性提高
95. 下列關於氟氯碳化合物(CFCs)在高層大氣中作用的敘述,何者正確? (A) CFCs 在對流層中迅速分解,因此不會影響臭氧層 (B) CFCs 的分解會產生氯分子(Cl₂),直接與臭氧反應導致其分解 (C) CFCs 穩定存在於低層大氣中,但進入平流層後被紫外線分解釋放氯自由基 (D) CFCs 在大氣中與水反應生成鹽酸,進而破壞臭氧層
96. 哪一個溶液具有最強的緩衝容量?(A) 0.335 M NH3 and 0.100 M NH4Cl(B) 0.085 M NH3 and 0.090 M NH4Cl(C) 0.540 M NH3 and 0.550 M NH4Cl(D) 0.200 M NH3 and 0.565 M NH4Cl
97. 一個由碳( C )、氫(H)和氧(O)組成的化合物,其質量百分比分別為:碳 70.6%、氫 5.9%、氧 23.5%。 該化合物的分子量為 136 amu。請問其分子式為何? (A) C8H8O2 (B) C8H4O (C) C4H4O(D) C9H12O
98. 一個質量為 1.038 g 的未知樣品(含 C、H 和 O) 經燃燒分析後,產生了 2.48 g 的 CO₂ 和 0.510 g 的 H₂O。請問此化合物的經驗式為何? (A) C3H3O (B) C6H6O (C) CH3OH(D) C6H6O2
99. 下列哪一個化合物不溶於水?(A) Na2CO3 (B) K2SO4 (C) Fe(NO3)3(D) ZnS
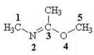
100.下列哪一個水溶液的 [OH⁻] (氫氧根離子濃度)最高? (A) pH = 3.0 的溶液 (B) 純水(pure water) (C) pOH = 12.0 的溶液 (D) 1 × 10⁻⁴ M 的 HA 溶液(HA 為某種酸)