所屬科目:教甄◆化學專業/化工科
(1) 已知二氫氧化物:A(OH)3及B(OH)2的Ksp分別為及。假設有一含0.01 M及0.1M的溶液,被逐漸滴入稀鹼溶液以改變其pH值,問若欲使其一發生沉澱,但另一卻不沉澱的pH 值應坐落那個範圍內?(log2=0.301, log 3 = 0.477)
(2) 0.09M MgCl2及0.33M NH4Cl 的溶液中,加入氨水則濃度至少為若干M才能發生的沉澱生成?(NH3之為,Mg(OH)2之Ksp為)
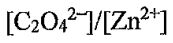
(1)此時的比值為何?
(2)計算此條件下ZnC2O4的溶解度(M)?
(3)此時H2C2O4的莫耳濃度(M)?
(1)由此滴定曲線計算,起始的Na2CO3溶液中,Na2CO3 的體積莫耳濃度為多少M?
(2)已知 H2CO3的,在附圖中當加入的HCl 分別為25、75mL時,溶液的pH值應為多少?
(3)承第(2)題,請計算當加入50mL的HCl時,溶液的pH值約為多少?
(4)當加入100 mL的鹽酸時,溶液中主要成分為何?(log2=0.3,log3=0.47)
(1) 陰極所產生的氣體?
(2)陽極所產生的混合氣體?
(3)通若干毫安培的電流1小時,才可在陰極收得 STP 下4.5mL的氣體。
(4)在(3)的情況下,陽極可得STP下3.6mL的氣體,則此混和氣體的莫耳數比為?
五.環保檢定單位對某氣體樣品中所含CO之濃度是依下述方法測定而得:
1. 首先將 2.00L 之氣體樣品通過含 I2O5 之加熱管,產生如下之反應:
5CO+I2O5→5CO2+I2
2. 將所產生之 I2 昇華並加入0.010 M之 Na2S2O3 溶液 30.0mL 產生下面的反應:
3. 再加 0.010 M之12溶液 5.0mL,則正好將(2)中過量之 Na2S2O3 完全氧化。
則該氣體樣品中之CO濃度為?(以mg/L 表示)
(1) 硬化油的分子量為何?
(2) 硬化油皂化後,所得飽和脂肪酸鈉鹽以示性式表示。
(3) 不飽和油脂的分子量為何?其1分子中含有多少個碳碳雙鍵(C=C)?
1. 阿斯匹靈
2. 安非他命
3. 戴奧辛
4. 多氯聯苯
5. 甲基橙
6. 三聚氰胺
7. 味精
8. 壓克力
八.本大題1. Using Molecular Orbital Theory to Explain the Bond order of NO⁺.
2. Is NO⁺ paramagnetic or diamagnetic?
九.本大題(1) Given that the dipole moment of HF is 1.92 D and the H-F bond length is 92pm, calculate the percent ionic character.
(2) Using ionic character to explain whether HF is an ionic substance or covalent molecular substance.
十. Why can terminal alkynes react with Tollens' reagent, while other alkynes cannot? Please provide a detailed explanation
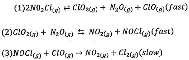
十一,本大題The mechanism of a reaction is as follows:
for step (1) k₁ for rate constant for forward reaction and for rate constant for the reverse reaction; for step (2) k2 for forward reaction and for reverse reaction; for step (3) k3: forward reaction. Please write the rate equation of this reaction
1. Calculate the rate constant.
2. Suggest a plausible mechanism that is consistent with the rate law. (Hint: Assume that the oxygen atom is the intermediate.)
(1) 然後於A器內放入約10mL水,並關閉活栓①後達平衡,此時h為多少mmHg?
(2) 然後打開活栓①,將乾燥空氣導入(N2:O2 體積比=4:1),當h=200mmHg時,關閉活栓①、②。此時B器內水蒸氣重量為多少g?氮氣分壓為多少mmHg?
(3) 若將全體裝置冷卻到7℃時,h為多少mmHg?又B器內液化的水量有多少g?
(1) 請問某不揮發性物質x的分子量?
(2) 若苯之莫耳沸點上升常數為2.5°C/m,求原溶液之正常沸點?
(3) 已知苯之莫耳凝固點下降常數5°C/m,純苯凝固點5.5°C,則t溫度為若干℃?
(4) 承上題,若將物質x改成等莫耳醋酸,則t會上升或下降?原因為何
十五、
高中課程-選修化學I介紹理想氣體方程式運用於真實氣體時會有所偏差,請說明原因?
真實氣體在那些條件下,會更接近理想氣體?並以壓縮因子(Z)描述真實氣體偏離理想氣體的程度,請說明壓縮因子(Z)的意義及解釋其受哪兩個因素影響?
十六、請證明非揮發性、非電解質溶液,沸點上升公式:ΔTb=Kb×Cm。並說明為何揮發性溶質不適用此公式之原因。