所屬科目:教甄◆數學
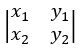
1. (1)若已知平面上不平行兩向量 = (x1 , y1 ) , = (x2 , y2 ),則 兩向量所決定的平行四邊形面積為行列式的絕對值,試證明之。
(2)在空間中三個不共平面的向量 = (x1, y1, z1 ), = (x2, y2, z2 ), = (x3, y3, z3) ,則此三個 向量所決定的平行六面體體積為行列式的絕對值,試證明之。
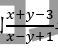
2. 設有一道數學題為「已知實數x , y 滿足x2 − 2x + y2 − 4y = −4,求 |2x + y + 3|的最小 值。」,請你使用 兩種不同的方法 去解這道題,並把解題過程及使用到的重要公式詳細寫出來。
※備註:假設解題過程中使用到正弦函數的兩倍角公式,則請你將sin2θ = 2sinθcosθ 這個公式寫出來。
3. (1) 解二元一次聯立方程式
(2) 用克拉瑪公式的幾何意義來完整說明 (1) 的解。
4. 假設 p 、q 、r > 0 ,算幾不等式依然成立,即
利用類似的方法推導廣義柯西不等式:
已知 a、b 、 x 、 y 、m 、n > 0. 試證明: (axm+byn)3 ≤(a3+b3)(x3+y3)(m3+n3)
(1) 令 A、 B 、C 分別代表甲、乙、丙是第一位出局的事件,試求 A 、 B 、C 三事件的機率 (即P ( A) 、 P(B) ,及 PC(C) )。
( 2 ) 令 D 代表甲是第二位出局的事件,試求 P(D) 。
(1) k =___________(以n、?表示)
(2)請證明:
7. 設x、y ∈ ,滿足x2 + (y + 4) 2 ≤ 1,則之最大值及最小值?
8. 國立屏科實中為一所科學園區實驗高中,因此希望老師能夠鼓勵並且帶領學生進行專題研 究,進而參加分區科展或國際科展等專題研究比賽。如果希望老師從高一開始指導學生進行專題研究,到高二下學期可以完成專題研究報告為目標,請你就構想期(高一上學期)、發展 期(高一下學期)、執行期(高一下至高二上)及產出期(高二上學期末至高二下)四個期程分別說明各個期程中「學生主要任務與目標」與「教師指導重點」為何? 請以條列的方式陳述。
9. 依據統計,多數高中生認為三角函數、對數、排列組合是高中數學學習難點,請就三角函數、對數、排列組合擇一單元,描述學生可能會有哪些迷思概念及如何引導學生學習。