阿摩線上測驗
登入
首頁
>
教甄◆數學
>
114年 - 114-1 國立屏科實驗高級中等學校_專任教師甄選初試試題_高中部:數學科#126417
> 申論題
題組內容
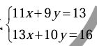
3. (1) 解二元一次聯立方程式
(2) 用克拉瑪公式的幾何意義來完整說明 (1) 的解。
相關申論題
1. (1)若已知平面上不平行兩向量 = (x1 , y1 ) , = (x2 , y2 ),則 兩向量所決定的平行四邊形面積為行列式的絕對值,試證明之。
#536992
(2)在空間中三個不共平面的向量 = (x1, y1, z1 ), = (x2, y2, z2 ), = (x3, y3, z3) ,則此三個 向量所決定的平行六面體體積為行列式的絕對值,試證明之。
#536993
2. 設有一道數學題為「已知實數x , y 滿足x2 − 2x + y2 − 4y = −4,求 |2x + y + 3|的最小 值。」,請你使用 兩種不同的方法 去解這道題,並把解題過程及使用到的重要公式詳細寫出來。 ※備註:假設解題過程中使用到正弦函數的兩倍角公式,則請你將sin2θ = 2sinθcosθ 這個公式寫出來。
#536994
3. (1) 解二元一次聯立方程式
#536995
4. 假設 p 、q 、r > 0 ,算幾不等式依然成立,即 利用類似的方法推導廣義柯西不等式: 已知 a、b 、 x 、 y 、m 、n > 0. 試證明: (axm+byn)3 ≤(a3+b3)(x3+y3)(m3+n3)
#536997
(1) 令 A、 B 、C 分別代表甲、乙、丙是第一位出局的事件,試求 A 、 B 、C 三事件的機率 (即P ( A) 、 P(B) ,及 PC(C) )。
#536998
( 2 ) 令 D 代表甲是第二位出局的事件,試求 P(D) 。
#536999
(1) k =___________(以n、?表示)
#537000
(2)請證明:
#537001
7. 設x、y ∈ ,滿足x2 + (y + 4) 2 ≤ 1,則之最大值及最小值?
#537002
相關試卷
115年 - 115-1 國立中興大學附屬高級中學_正式教師甄試試題:數學科#138079
115年 · #138079
115年 - 115-1 臺北市立第一女子高級中學_正式教師甄選測驗題試題:數學科#138077
115年 · #138077
115年 - 115 新竹市立成德高級中學_正式教師甄選:國中數學科#138019
115年 · #138019
115年 - 115 新竹市立成德高級中學_正式教師甄選:高中數學科#138018
115年 · #138018
115年 - 115 國立陽明交大附中_教師甄選試題:數學科#137883
115年 · #137883
115年 - 115-1 臺中市臺中第一高級中學_教師甄選試題:數學科#137882
115年 · #137882
114年 - 114 國立臺灣藝術大學教育學程招生考試_綜合學科:數學#137131
114年 · #137131
114年 - 114 高雄市市立國民小學教師聯合甄選-專長類-普通科目試題:數學#131662
114年 · #131662
114年 - 114 澎湖縣國民小學暨附設幼兒園教師/代理教師甄選試題:數學#131655
114年 · #131655
114年 - 114 文藻外語大學師資培育中心__國民小學教師教育學程新生甄選試題:學科基本知識-數學#130715
114年 · #130715