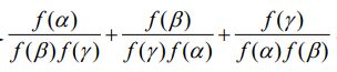
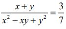
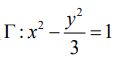
二、計算證明題
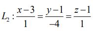
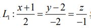
1、想要求兩個歪斜線
與
的距離,在現有各版本教材中,通常採用以下兩種方法:
(法 1)設 P ( -1+2t ,2-2t ,-t ) Q (3+s ,1-4s ,1+s ) ,
分別與兩直線方向向量內積值為 0,聯立解出 st, 後,
即為兩歪斜線距離。
(法 2)求出包含 L2 且平行 L1 之平面方程式 E ,則 L1 上任一點到平面 E 的距離即為兩歪斜線距離。 現有學生張彰,跟你請教是否有其他可以求出兩歪斜線距離的方法?請向張彰說出
異於(法 1)與(法 2)且限於 108 課綱內容的方法,來求出兩個歪斜線 L1 與 L2 的距離。(1 個方法 4 分,請先簡述想法,再寫出計算過程及解答)