所屬科目:教甄◆數學
1、 下列哪一個問題適合用於檢視學生是否有除法越除越小的迷思概念?
甲:26÷4 乙:28÷0.4 丙:丁: (A) 甲 (B) 甲、丙 (C) 乙、丁 (D) 甲、乙、丁
2、 部分學童會用關鍵字解題,例如,出現「比⋯⋯多」時,使用加法運算; 出現「比⋯⋯少」時,使用減法運算。下列哪一個問題可以診斷出具有 這樣現象的學童? (A) 花瓶裡有 8 朵紅花和 6 朵黃花,黃花比紅花少幾朵? (B) 花瓶裡有 8 朵紅花和一些黃花,黃花比紅花多 5 朵,花瓶裡有幾 朵黃花? (C) 花瓶裡有 8 朵紅花和一些黃花,黃花比紅花少 5 朵,花瓶裡有幾 朵黃花? (D) 花瓶裡有 8 朵紅花和一些黃花,紅花比黃花少 5 朵,花瓶裡有幾 朵黃花?
3、 在學過分數乘以分數之後,老師請同學說一說整數乘法和分數乘法的 性質。有兩位學生說 甲:整數乘以整數,積會比被乘數大
乙:分數乘以分數,積會比被乘數小
問下列何者正確? (A) 甲、乙都對 (B) 甲、乙都不對 (C)甲不對、乙對 (D) 甲對、乙不對
4、 有三個分數除法的教材內容如下:
甲:分數除以分數 乙:整數除以分數 丙:分數除以整數
問合理教材內容安排順序為何? (A) 甲→乙→丙 (B) 乙→丙→甲 (C)丙→甲→乙 (D) 丙→乙→甲
5、 某學童知道所有的長方形都有四個直角,但不知道正方形是長方形的一種。根據 van Hiele 幾何認知層次理論,該學童屬於何種認知層次? (A) 分析期(descriptive-analytic level) (B) 視覺期(visual level) (C) 形式演繹期(formal deduction level) (D) 非形式演繹期(informal deduction level)
6、 四邊形 ABCD 是一個帄行四邊形,如下圖所示,已知線段=12, =10,若△ABE 占四邊形 ABCD 面積的,請問△DEF 的周長為何?
(A) 15 (B) 17 (C) 19 (D) 21
7、 若方程式= K,在座標 平面上的圖形為一線段,則 k 值為何? (A) 2 (B) 3 (C) 4 (D) 5
8、 如下圖,將邊長為 x + y 的正方形剪成甲、乙、丙、丁四塊,其中甲、乙是全等的直角三角形,兩股長分別為 x、x + y ,丙、丁是全 等的梯形,上下底長分別為 x 、 y ,高為 y 。今將甲、乙、丙、 丁四塊重新組合,恰可拼成一個長方形,如下圖所示。已知 x < y , 則之值為何?
(A) √2-1 (B) √3-1 (C)(D)
9、 現有廣告內容宣稱「任選兩球不同口味冰淇淋的組合數超過 100 種」,那麼小美冰淇淋店最少需準備 n 桶不同口味的冰淇淋才能滿 足此廣告內容所宣稱的。當來此店的顧客想從這 n 桶不同口味的冰 淇淋中任選兩球(兩球可能為同一口味),請問顧客可以有多少種選 法? (A) 101 (B) 105 (C) 115 (D) 120
10、 甲乙丙丁四個問題情境都是有關長度教學的例子,依照學生的認知 發展, 哪一項最先介紹? (A) 用迴紋針量量看,鉛筆有多長? (B) 用一條繩子複製教室前面黑板的長,然後拿著繩子和教室後面牆上 的公布欄比一比,看看是黑板長?還是公布欄長? (C) 用公分尺量量看,數學課本有多長? (D) 拿出兩枝鉛筆,放在一起比比看,哪一支鉛筆比較長?
11、 算式之值為何 ? (A)(B) (C)(D)
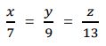
12、 已知 x : y :z =7:9:13 ,則下列敘述何者錯誤? (A)(B) x:y:z =14:18:26 (C) 7z=9y=13x (D)可以假設 x =7r,y=9r,z=13r (r 不等於 0)
13、 某次考試結果,全班的帄均數是 36,標準差是 2。老師決定每人先加3 分後,再將分數加倍,成為調整後分數。若調整後分數的帄均數是 x ,標準差是 y ,試求 x+y 之值為何? (A) 76 (B) 78 (C) 80 (D) 82
14、 下列敘述何者正確? (A) 一線段恰有一條帄分線 (B) 一個三角形中,若有 2 個內角為銳角,可稱之為銳角三角形 (C) 圓上任取兩點所連成的線段叫做弧 (D) 一個四邊形可以只有二個直角
15、 已知多項式 f(x)除以 x -3 的餘式為 12,除以 x + 4 的餘式為‒9, 求 f(x)除以x2+x−12 的餘式為何? (A) 3x+3 (B) 3x-3 (C) 3x-2 (D) 3x+2
16、 設 α1, α2,…, 為一等差數列,且滿足 α1=3, ,則 5之值為何? (A) 0 (B) 6 (C) 7 (D) 8 (E) 一律給分
17、 已知 B = ,則 B 的個位數字為何? (A) 1 (B) 3 (C) 7 (D) 9
18、 坐標帄面上,二次函數 y = f(x) = + bx + c 的圖形如下。
有關此圖形的敘述如下: 甲: a < 0 乙: b > 0 丙: c > 0 丁: − 4ac > 0
以上敘述正確的有幾項?
(A) 1 (B) 2 (C) 3 (D) 4
19、 某甲沿著馬路向正前方一棟大樓直線前進,抬頭看大樓頂端的仰角 為 30 度,走了 100 公尺 後,第二次抬頭看大樓頂端,此時的仰 角為 45 度,則第二次抬頭看大樓時距離大樓還有多遠? (A) 25(√3−1) (B) 50(√3+1) (C) 100(√3−1) (D)100(√3+1)
20、 露營區中的三個營隊分別駐紮在不共線的 A、B、C 三處,想要在離 各營隊駐紮處相同距離之處辦理營火晚會。在理想狀況下,營火晚 會的地點會在∆ABC 的哪個位置? (A) 垂心 (B) 重心 (C) 內心 (D) 外心