阿摩線上測驗
登入
首頁
>
技檢◆飛機修護-乙級
> 114年 - 17600 飛機修護 乙級 工作項目 01:飛機修護基礎技術 1-50(2025/12/31 更新)#135968
114年 - 17600 飛機修護 乙級 工作項目 01:飛機修護基礎技術 1-50(2025/12/31 更新)#135968
科目:
技檢◆飛機修護-乙級 |
年份:
114年 |
選擇題數:
50 |
申論題數:
0
試卷資訊
所屬科目:
技檢◆飛機修護-乙級
選擇題 (50)
1. 下列何者不是飛機啟動氣源供應的來源? (A)發動機壓縮器所洩放之壓縮空氣 (B)輔助動力器(APU) (C)地面之氣源車 (D)地面之空調車 。
2. 下者何者不屬於飛機上主要操作面 (A)副翼 (B)升降舵 (C)方向舵 (D)襟翼 。
3. 機翼翼弦與空氣流動方向之夾角稱之為 (A)機翼傾角 (B)攻角 (C)上反角 (D)夾角 。
4. 機翼翼弦與縱軸之夾角稱之為 (A)機翼傾角 (B)攻角 (C)上反角 (D)夾角 。
5. 機翼與機翼翼根處水平線之夾角稱之為 (A)機翼傾角 (B)攻角 (C)上反角 (D)夾角 。
6. 飛機飛行速度與音速之比值稱為 (A)馬赫數 (B)音速 (C)音波 (D)超音波 。
7. 機翼前緣與後緣連接之線稱為機翼之 (A)翼弧中心線 (B)翼弦 (C)翼展 (D)翼剖 。
8. 超音速飛行之飛機機翼主要空氣動力中心位於翼弦 ______之處。(A)15% (B)25% (C)40%(D)50%
9. 次音速飛行之飛機機翼主要空氣動力中心位於翼弦 ______之處。(A)15% (B)25% (C)40%(D)50%
10. 下者何者不屬於飛機副操作面 (A)前緣縫翼 (B)擾流板 (C)副翼 (D)襟翼 。
11. 水平安定面前緣向下移動時,飛機之機頭會 (A)上仰 (B)下俯 (C)保持不變(D)偏移 。
12. 昇降舵後緣向下移動時,飛機之機頭會 (A)上仰 (B)下俯 (C)保持不變 (D)偏移 。
13. 飛機上唯一不對稱之操縱面為 (A)升降舵 (B)方向舵 (C)襟翼 (D)副翼 。
14. 飛機上裝置有防止失速之狹條,其位置於機翼 (A)翼尖之前緣處 (B)翼之前緣處 (C)翼根尖之後緣處 (D)翼根之後緣處 。
15. 飛機向左滾轉時,副翼之動作為 (A)左上右下 (B)左下右上 (C)左上右上 (D)左下右下 。
16. 飛機上主操縱系使用之鋼繩種類為______鋼繩。(A)7x7 (B)7x19 (C)7x17 (D)9x19
17. 飛機上副操縱系使用之鋼繩種類為______鋼繩。 (A)7x7 (B)7x19 (C)7x17 (D)9x19
18. 鋼繩之張力主要受何因素之影響 (A)材料 (B)硬度 (C)結構 (D)溫度 。
19. 飛機上利用何者改變鋼繩行走之方向 (A)導向套 (B)滑輪 (C)扭力管 (D)扇形板 。
20. 大氣中聲音的速度與何因素有關 (A)壓力 (B)風速 (C)方向 (D)溫度 。
21. 何者不是熱量傳遞的方式? (A)傳導 (B)對流 (C)擴散 (D)幅射 。
22. 在空氣中給予一體積內所含實際之水份稱之為 (A)零濕度 (B)感覺濕度 (C)真實濕度 (D)絕對濕度 。
23. 防冰系統中以______ 清潔橡膠除冰套。(A)中性肥皂水 (B)蒸餾水 (C)酒精 (D)鹽水
24. 動靜壓管利用下列何者執行防冰工作? (A)高壓空氣 (B)電力 (C)除冰液 (D)鹽水 。
25. 使用於主操縱系控制系統上之鋼繩,其允許最小尺寸為 ______吋直徑之鋼繩。(A)1/2 (B)1/4 (C)1/6 (D)1/8
26. 飛機於飛行時,機翼下表面所承受之應力為何種? (A)剪應力 (B)壓縮應力 (C)擴張應力 (D)旋轉應力 。
27. 由所測得之壓力與標準大氣壓力之差所得即為 (A)差壓力 (B)表壓力 (C)計算壓力 (D)真壓力 。
28. 氣壓隨高度上升之遞減率大約是 (A)每一吋水銀柱高度為 100FT (B)每一吋水銀柱高度為 1000FT (C)每一吋水銀柱高度為 200FT (D)每一吋水銀柱高度為 2000FT 。
29. 最大巡航高度上的客艙高度值為 (A)6000 英呎 (B)7000 英呎 (C)4000 英呎(D)8000 英呎 。
30. 現代噴射客機的加油操縱電源多為 (A)28 伏直流電 (B)單相 115 伏交流電(C)28 伏直流電和三相 115 伏交流電 (D)三相 115 伏交流電 。
31. 動靜壓管內的防冰方式是 (A)電熱防冰 (B)發動機引氣防冰 (C)液體防冰 (D)機械能防冰 。
32. 差壓式結冰探測器是根據何者提供警報的 (A)兩根導線之間的電壓之差(B)電阻上的電壓大小之差 (C)動壓室和靜壓室之間的氣壓之差 (D)發動機進氣道的壓力之差 。
33. 一般飛機上的主發電機能產生多少電能 (A)100W-1000W (B)60KVA-90KVA (C)1000KW-2000KW (D)120Ah-200Ah 。
34. 在發電機的故障保護裝置中設置延時的目的是 (A)防止損壞負載 (B)防止錯誤動作 (C)發生故障時持續動作 (D)防止發生更嚴重的故障 。
35. 油氣式減震支柱的作用是 (A)將減震支柱鎖在〝收上〞位置 (B)將減震支柱鎖在〝放下〞位置 (C)當減震支柱壓縮時,延遲液壓油的流動 (D)調節減震支柱內的空氣流速 。
36. 裝有油氣式減震支柱的飛機,在著陸撞擊時,是靠什麼進行緩衝的? (A)液壓油在高壓下迅速溶解於氣體中 (B)支柱內的充氣被壓縮 (C)液壓油迅速壓縮 (D)液壓油被迫流經限流孔 。
37. 安裝金屬硬管的正確做法是 (A)在上緊接頭之前在接頭接合面和硬管的喇叭口上塗上油脂 (B)在上緊接頭之前必須使管子的喇叭口和接頭對正 (C)用螺帽將喇叭口拉向接頭使它們貼合 (D)為了防止漏油,接頭要越緊越好 。
38. 具有雙向密封的密封件為 (A)U 形密封圈 (B)V 形密封圈 (C)O 形密封圈 (D)Y 形密封圈 。
39. 雙開口扳手的英文名稱為 (A)OPEN/END WRENCH (B)BOX WRENCH (C)SPEED HANDLE (D)SCREW DRIVER 。
40. 十字螺絲刀的英文名稱為 (A)FLAT SCREW DRIVER (B)SCREW JACK (C)SOFT (D)PHILLIP SCREW DRIVER 。
41. 在進入燃油箱內工作時,維修人員使用之手電筒必須具備 ______的功能。(A)防碎裂 (B)防爆 (C)不必更換電池 (D)不導電
42. 拆裝管路接頭選用______最合適。 (A)梅花扳手 (B)棘輪扳手 (C)開口扳手 (D)活動扳手
43. 下列那一項不屬於美國標準件螺桿的代號 (A)MS (B)NAS (C)NSA (D)AN 。
44. 當很多螺桿被以單股保險絲串聯,保險安全線最長以______為限。 (A)12 英吋 (B)6 英吋 (C)18 英吋 (D)24 英吋
45. D 鉚釘材質為 2017,鉚釘頭記號為______剪力為每平方吋 38,000 磅,淬火後需存放於冰庫中,以延展柔軟材質。 (A)中心有凸點 (B)中心有一凹點 (C)中心有兩道凹點 (D)中心為大字型
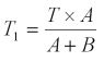
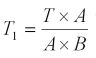
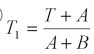
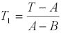
46. 因工作需要在扭力扳手頭上加延長桿配接器,若 A=原來扳手的長度,B=延長桿接頭長度,T=原來的實際扭力值,試問修正後之扭力值 T1,應為 (A)
(B)
(C)
(D)
。
47. 在飛機液壓系或發動機啟動、拖機等時機,為了提醒地面人員及其他作業人員注意,必須開啟 (A)taxi light (B)anti-collision light (C)landing light(D)wing light 。
48. 飛機管路系統標誌中,標籤背景綠色的是 (A)pneumatic system (B)fuelsystem (C)oxygen system (D)oil system 。
49. 滑油系為 ATA 第______章。 (A)72 (B)73 (C)74 (D)79
50. 在 4 至 6 英吋內,只可將幾個螺桿連保在一起 (A)一個 (B)兩個 (C)三個 (D)四個 。
申論題 (0)
相關試卷
114年 - 17600 飛機修護 乙級 工作項目 07:航空法規 51-78(2025/12/31 更新)#135983
114年 · #135983
114年 - 17600 飛機修護 乙級 工作項目 07:航空法規 1-50(2025/12/31 更新)#135982
114年 · #135982
114年 - 17600 飛機修護 乙級 工作項目 06:安全措施 1-18(2025/12/31 更新)#135981
114年 · #135981
114年 - 17600 飛機修護 乙級 工作項目 05:飛機檢查及文件查閱 1-15(2025/12/31 更新)#135980
114年 · #135980
114年 - 17600 飛機修護 乙級 工作項目 04:飛機電氣及儀表系統修護 101-134(2025/12/31 更新)#135979
114年 · #135979
114年 - 17600 飛機修護 乙級 工作項目 04:飛機電氣及儀表系統修護 51-100(2025/12/31 更新)#135978
114年 · #135978
114年 - 17600 飛機修護 乙級 工作項目 04:飛機電氣及儀表系統修護 1-50(2025/12/31 更新)#135977
114年 · #135977
114年 - 17600 飛機修護 乙級 工作項目 03:飛機渦輪發動機修護 101-164(2025/12/31 更新)#135976
114年 · #135976
114年 - 17600 飛機修護 乙級 工作項目 03:飛機渦輪發動機修護 51-100(2025/12/31 更新)#135975
114年 · #135975
114年 - 17600 飛機修護 乙級 工作項目 03:飛機渦輪發動機修護 1-50(2025/12/31 更新)#135974
114年 · #135974