所屬科目:高中(學測,指考)◆數學
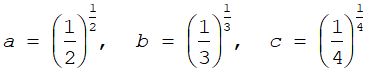
1. 設 。下列選項何者為真? (A)a > b > c (B)a < b < c (C)a = c > b (D)a = c < b (E)a = b = c
2. 下圖為一拋物線的部分圖形,且A、B、C、D、E五個點中有一為其焦點。試判斷哪一點是其焦點?(可利用你手邊現有簡易測量工具) (A)A (B)B (C)C (D)D (E)E
貳、多重選擇題4. 若 ,則下列選項何者為真? (A) (B) (C) (D) (E)
5. 設a,b,c為實數。若二次函數f(x)=ax2+bx+c 的圖形通過(0,-1)且與x軸相切,則下列選項何者為真? (A)a<0 (B)b>0 (C)c=-1 (D)b2+4ac=0 (E)a+b+c ≤ 0
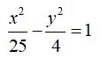
9. 在坐標平面上,請問下列哪些直線與雙曲線 不相交? (A)5y=2x (B)5y=3x (C)5y=2x+1 (D)5y=-2x (E)y=100
10. 令z 為複數且z6=1 ,z≠1則下列選項何者為真? (A)| z |=1 (B)z2=1 (C)z3=1 或z3=-1 (D)| z4 |=1 (E)1+z+z2+z3+z4+z5=0
14. 設多項式f(x) 除以x2-5x+4 ,餘式為x+2 ;除以x2-5x+6 ,餘式為3x+4 。則多項式f(x) 除以x2-4x+3 ,餘式為 。
15. 兩條公路k 及m ,如果筆直延伸將交會於C處成60°夾角,如圖所示。為銜接此二公路,規劃在兩公路各距C處450公尺的A、B兩點間開拓成圓弧型公路,使 , 分別在A,B與此圓弧相切, 則此圓弧長= 公尺。 (公尺以下四捨五入)
16. 如下圖的四角錐展開圖,四角錐底面為邊長2的正方形,四個側面都 是腰長為4的等腰三角形,則此四角錐的高度為 。
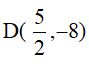
17. 在坐標平面的x軸上有A(2,0),B(-4,0)兩觀測站,同時觀察在x軸上方的一目標C點,測得∠BAC及∠ABC之值後,通知在 的砲台此兩個角的正切值分別為及 。那麼砲台D至目標C的距離為 。
18. 將一個正四面體的四個面上的各邊中點用線段連接,可得四個小正四面體及一個正八面體,如下圖所示。如果原四面體ABCD的體積為12, 那麼此正八面體的體積為 。