所屬科目:高中(學測,指考)◆數學
1. 試問有多少個正整數n 使得 為整數? (A) 1個 (B) 2個 (C) 3個 (D) 4個 (E) 5個
3. 若(4+3i)(cosθ+isinθ) 為小於0的實數,則θ是第幾象限角? (A) 第一象限角 (B) 第二象限角 (C) 第三象限角 (D) 第四象限角 (E) 條件不足,無法判斷
4. 設ABC為坐標平面上一三角形,P 為平面上一點且 ,則 等於 (A) (B) (C) (D) (E)
5. 根據統計資料,在A小鎮當某件訊息發布後,t小時之內聽到該訊息的人口是全鎮人口的100(1-2-kt)% ,其中k是某個大於0的常數。今有某訊息,假設在發布後3小時之內已經有70%的人口聽到該訊息。又設最快要T小時後,有99%的人口已聽到該訊息,則T最接近下列哪一個選項? (A) 5小時 (B) 小時 (C) 9小時 (D) 小時 (E) 13小時
貳、多重選擇題6. 如下圖,兩直線L1、L2之方程式分別為L1:x+ay+b=0, L2:x+cy+d=0; 試問下列哪些選項是正確的? (A)a>0 (B)b>0 (C)c>0 (D)d>0 (E)a>c
7. 如下圖,ABCD-EFGH為一平行六面體,J為四邊形BCGF的中心,如果 ,試問下列哪些選項是正確的? (A) (B)a+b+c=2 (C)a=1 (D)a=2c (E)a=b
8. 以下各數何者為正? (A) (B)log23-1 (C)log32-1 (D) (E)
9. 下列哪些函數的最小正週期為 ? (A)sinx+cosx (B)sinx-cosx (C)| sinx+cosx | (D)| sinx-cosx | (E)| sinx | + | cosx |
11. 設 (a為常數)、E1:x-2y+z=5 及E2:2x-5y+4z=-3 為坐標空間中的三個平面。 試問下列哪些敘述是正確的? (A) 存在實數a使得 與E1平行; (B) 存在實數a使得 與E1 垂直; (C) 存在實數a使得 ,E1 ,E2 交於一點; (D) 存在實數a使得 ,E1 ,E2 交於一直線; (E) 存在實數a使得 ,E1 ,E2 沒有共同交點。
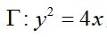
14. 設A(1,0)與B(b,0)為坐標平面上的兩點,其中b>1 。若拋物線 上有一點P使得△ABP 為一正三角形,則b = 。
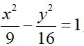
15. 設P為雙曲線 上的一點且位在第一象限。若F1、F2 為此雙曲線的兩個焦點,且 ,則△F1PF2 的周長等於 。
16. 在坐標空間中,通過O(0,0,0) ,N(0,0,1) , 三點的平面與球面S:x2+y2+z2=1 相交於一個圓C ,則圓C 的劣弧NP 的弧長等於 。(化成最簡分數) (所謂劣弧NP 是指圓C 上由N, P兩點所連接的兩弧中較短的那一段弧。)
17. 設k為一整數。若方程式kx2+7x+1=0 有兩個相異實根,且兩根的乘積介於 與 之間,則k= 。
18. 在只有皮尺沒有梯子的情形下,想要測出一拋物線形拱門的高度。已知此拋物線以過最高點的鉛垂線為對稱軸。現甲、乙兩人以皮尺測得拱門底部寬為6公尺,且距底部公尺高處其寬為5公尺。利用這些數據可推算出拱門的高度為 公尺。(化成最簡分數)
20. 根據統計資料,1月份台北地區的平均氣溫是攝氏16度,標準差是攝氏3.5度。一般外國朋友比較習慣用華氏溫度來表示冷熱,已知當攝氏溫度為x時,華氏溫度為 ;若用華氏溫度表示,則1月份台北地區的平均氣溫是華氏 度,標準差是華氏 度。(計算到小數點後第一位,以下四捨五入。)