所屬科目:高中指考◆物理
3. 某生利用如圖 1 所示的電路測量㆒個待測電阻 R 的 I-V 曲線。試問電路㆗,X,Y,及 Z 各為何種器材? (A) X:電阻箱; Y:伏㈵計; Z:安培計 (B) X:伏㈵計; Y:安培計; Z:電阻箱 (C) X:安培計; Y:電阻箱; Z:伏㈵計 (D) X:伏㈵計; Y:電阻箱; Z:安培計 (E) X:安培計; Y:伏㈵計; Z:電阻箱
4. 時間 t = 0 秒時,在一條拉緊的長繩上有二個不等高的脈衝波分別向左及向右行進,如圖 2 所示。已知繩波的波速為 10 m/s,則在 t = 0.9 秒時,繩波的形狀為下列何者? (A)(B)(C)(D)
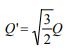
5. 點電荷 Q 、 Q 及 Q ' ( Q 與 Q ' 均為正)分別位在一個正三角形的三個頂點上,如圖 3 所示。若正三角形中心處的電場為零,則 Q ' 與 Q 間的關係為下列何者? (A) Q ' = 2Q (B) Q ' = Q (C) (D) Q ' = 3Q (E) Q ' = 2Q
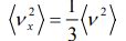
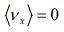
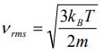
6. 絕對溫度為 T 的某理想氣體密封於一個立方盒內,如圖 4 所示。依氣體動力論,下列數學式中何者錯誤? 註:代表分子速度在 x 軸方向之分量,分子速率 ,分子的方均根速率以表示,代表所有分子 的平均值,餘類推。為波茲曼常數,m 為分子質量。 (A) (B)≠0(C) (D) (E)
7. 某人手握一個空玻璃杯,將杯口朝下,垂直按入水面下,如圖 5 所示。已知杯內㈬面與容器水面間的高度 差為 10.0 cm,玻璃杯的截面積為 30.0 cm2、重量為 180 gw (克重)。若不計杯內的空氣重量,則此人在垂直方向需施力若干,才能維持玻璃杯的平衡?
(A) 120 gw (B) 180 gw (C) 260 gw (D) 300 gw (E) 480 gw
8. 帶電 q 的粒子垂直射入量值為 B 的均勻磁場中,留下如圖 6 所示的軌跡。在粒子質量與運動速率皆未知的 情況下,在下列㈲關該粒子的物理量中,何者可以確定? (A) 動能 (B) 質量 (C) 運動速率 (D) 動量的量值 (E) 電荷與質量的比值
10. 小軒要在客廳裏掛上一幅 1 公斤重的畫(含畫框),畫框的背面有兩個相距 1 公尺、位置固定的釘子。他將畫對稱的掛在牆壁的掛鉤上,掛繩最大可以承受 1 公斤重的張力,掛好後整條細繩呈緊繃的狀態(見圖 7)。假 設細繩可以承受的最大張力與繩長無關,則細繩最少需要幾公尺才不㉃於斷掉? (A) 2/ √3 (B) 3/2 (C) 2 (D) 5/2 (E) 2√ 3
12. 如圖 8 所示,當人造衛星(S)環繞地球做半徑為 r (從地球中心算起)的圓軌道運動時,下列有關該衛星物理量的量值,哪些隨半徑 r 的增加而增加(衛星的質量固定)? (A) 圓周運動速率 圖8 (B) 圓周運動的角速率 (C) 圓周運動的週期 r S (D) 相對於地球中心點的角動量 (E) 動能
13. 透明薄平板玻璃所組成的魚缸中,悠游著一條小魚,如圖 9 所示。在某時刻,某人沿圖中的 CD 直線觀 看小魚,小魚的軀幹平行於 CD 直線。下列敘述中哪些正確? (A) 人所看到,魚的影像為實像。 (B) 人所看到,魚的位置和實際位置相同。 (C) 人所看到,魚的長度等於實際的長度。 (D) 當魚以速率 v,沿 CD 直線游離此人時,人所觀測到的速率小於 v。 (E) 當魚與人的位置固定時,魚缸的玻璃厚度若較大,則人所看到魚的影像比薄玻璃時更為接近。
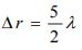
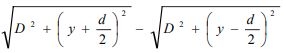
14. 在『楊氏雙狹縫干涉實驗』中,設兩個長條形狹縫間的距離為 d,狹縫㉃屏幕 S 間的距離為 D,波長為l 的單色平行光垂直入射於狹縫,如圖 10 所示。若兩條狹縫所發出的光在到達屏幕上 P 點所產生的路程差 以Dr 表示,則下列敘述哪些正確? (A) 每一條狹縫可以視為波長為l的線光源 (B) 兩條狹縫所發出的光,可視為不相干的。 (C) Dr 的正確值為 (D) 若 D ≫ d 及 y,則Dr 可近似表示為 (E) 當時,在 P 點發生破壞性(相消性)干涉。
15. 一條張緊的弦線,長度為,兩端點固定,如圖 11 所示。令弦波的波速為u,則下列敘述哪些正確? (A) 弦線的密度越大,則u 越大。 (B) 張力越大,則u越大。 (C) 弦線以基頻振動時的頻率為u/。 (D) 弦線以基頻振動時,以弦線㆗點的振幅為最大。 (E) 當弦線以基頻 f1 振動時,弦上各點作相同頻率的簡諧振動,且弦線的總動能正比於 f1 的一次方。
2. 試問㈭塊滑行多少時間(以符號 t1 表示)後,速度由u0 變成。
3. 當㈭塊的速度變成 的瞬間,㈲㆒質量為 m 的物體從㈭塊的正上方以接近零的速度落下,如圖 12 所示, 並和木塊黏在一起。試問這兩個物體可繼續滑行多遠(以符號 S2 表示)後才停住?