所屬科目:高中指考◆物理
1.圖1所示的直流電路中,AB為一條長100cm的滑線電阻線。V1及V2伏特計的內電阻均遠大於滑線電阻及電池的內電阻。當AC長等於60cm時,V1的讀數為2.5V, 則V2的讀數為何? (A)0V (B)0.5V (C)1.0V (D)1.5V (E)2.0V
2.已知1g的酒精在20℃及21℃所佔的體積分別為1.26670cm3及1.26807cm3。試問酒精在20℃的體膨脹係數約為何值? (A) (B) (C) (D) (E)
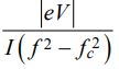
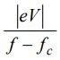
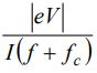
7.某物質其光電效應之截止頻率為,若以強度I、頻率f的光照射其上,則截止電 壓為V。若e為電子電荷,則下列何者其數值等於卜朗克常數h? (A)(B)(C) (D) (E)
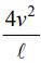
8.一質量m之物體以兩根頂點相距A的相同彈簧懸掛起來,兩彈簧間的夾角為2θ (30°>θ>20°),如圖2所示。若彈簧的自然長度亦為,則彈簧的力常數為何? (A)(B) (C)(D) (E)
9.半徑為a的圓形導線和一條長直導線位在同一平面上,圓形導線的圓心與長直導線 相距b(b>a),如圖3所示。兩條導線上分別載有I1及I2的電流,圓形導線上各部分電流受到長直導線電流的磁作用力。試問下列何者所受的磁作用力最大? (A)上半圓 (B)下半圓 (C)左半圓 (D)右半圓 (E)全圓
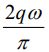
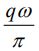
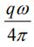
10.xy平面上有一半徑為a的圓形線圈,共有均勻分佈的靜止電荷q。如果圓形線圈以 ω的角速度繞z軸逆時針快速旋轉,如圖4所示。則對靜止觀察者而言,線圈上有 一個電流在流動,試問平均電流的大小為何? (A) (B) (C) (D) (E)
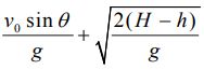
11.一粒質量為m的小石頭從地面上的O點以初速v0,仰角θ被射出,如圖5所示。B 點為小石頭運動軌跡的最高點,B點與地面距離為H。A點則是越過最高點後的某 一位置,A點與O點間的水平距離為d(,R為水平射程),A點與地面間的距離為h。若將小石頭在地面的重力位能取為零,重力加速度為g,且不計空氣阻力,則下列有關小石頭的敘述,哪些正確? (A)在A點的總力學能為mgh (B)從O點運動至A點共需時 (C)從O點運動至A點共需時 (D)在最高點B時,速度與加速度互相垂直 (E)從O點運動至A點的過程中,重力總共作功mgh
12.在『楊氏雙狹縫干涉實驗』中,波長為λ的平行光垂直於狹縫入射,如圖6所示。 設狹縫所在平面至光屏S的間距為D,兩個狹縫的間距為d,且。令光屏 上相鄰兩亮紋中央的間距以符號表示,相鄰兩暗紋中央的間距以符號表示,則下列敘述中哪些正確? (A)當D與d維持不變,λ變大時,則變大 (B)當D與d維持不變,λ變大時,則變小 (C)當λ與D維持不變,d變大時,則變大 (D)當λ與D維持不變,d變大時,則變小 (E)當λ與d維持不變,D變大時,則及均變小
13.有一均勻帶電棒長為L、總帶電量為q(q>0),如圖7所示。點A在(2L,0)、B在(L,L)、 C在(0,L)、D在(-L,0)、E在(-L,-0.5L)處,若無窮遠處的電位取為零,則下列敘述何者正確? (A)A電位大於B電位 (B)B電位大於C電位 (C)B電位大於D電位 (D)B電位大於E電位 (E)E電位大於D電位
14.如圖8所示,水平面上兩相同的玻璃杯A、B內裝有兩種不同的液體,上方懸吊一 ㄇ形試管垂直液面。兩玻璃杯的液面等高,試管內左右兩邊內與外液面落差分別為。已知=5.0cm,A液體的密度為=6.8g/cm3 ,B液體是密度=13.6g/cm3 的水銀,試管內氣體壓力小於試管外的大氣壓力(76cm水銀柱高)。下列敘述哪 些正確? (A)試管內氣體壓力為71cm水銀柱高 (B)左邊試管內與外液面落差等於10cm (C)A玻璃杯底部壓力大於B玻璃杯底部壓力 (D)A玻璃杯液面壓力大於B玻璃杯液面壓力 (E)左邊試管內液面壓力大於右邊試管內液面壓力
15.一質量為m的物體甲靜置於光滑水平面上,物體甲連接在一質量可忽略、長度為A 的細桿上,細桿上有一圓環,套住固定在水平面上的釘子,圓環與釘子之間的摩擦 可以忽略,如圖9所示。另一相同質量的物體乙,在水平面上以v的速度,沿垂直 細桿的方向作直線運動。甲、乙物體作正向碰撞後黏在一起,則下列敘述何者正確? (A)碰撞後,甲、乙兩物體作等速度圓周運動 (B)碰撞後,甲、乙兩物體作等速率圓周運動 (C)碰撞後,兩物體的加速度為 (D)碰撞後,兩物體的加速度為 (E)碰撞後,兩物體的加速度為
16.在二極體內,p型與n型半導體的接合面附近存在一個所謂的空乏區,如圖10所示。 下列有關半導體及二極體的敘述,哪些正確? (A)在空乏區內,靠近p型半導體處帶有正電 (B)純矽晶中若摻入磷的雜質便形成n型半導體 (C)n型矽晶半導體中,自由電子及電洞均會傳導電流 (D)偏壓相等時,二極體在順向偏壓時的電流小於逆向偏壓時的電 流 (E)在空乏區內,存在有一方向從p型半導體邊指向n型半導體邊的 內建電場
17.電鈴計時器可以間隔相等的時間間距在紙帶上打點,小華將紙帶固定在滑車上,利用紙帶紀錄滑車的位置,並將五次實驗的紙帶依實驗1-5編號整理如圖11所示。 下列有關這五個實驗的敘述哪些正確? (A)實驗1滑車速度為實驗2的兩倍 (B)實驗4滑車加速度為實驗3的兩倍 (C)實驗3與5滑車加速度大小相等,方向相反 (D)若紙帶上記錄的黑點愈大,則實驗結果愈精確 (E)若實驗2滑車速度為0.1m/s,則實驗3滑車加速度為0.2m/s2
18.在『水波槽實驗』中,位在圖12中O點的點波源產生圓形水波。已知波長為λ, 且波源到水波槽AB端的距離D=6λ。O'點為AB邊上的一點,且OO'連線平行於 波的行進方向。水波槽的CD端裝有消波器,所產生的反射波可以忽略。下列敘述 中哪些正確? (A)波長λ和水槽的水深無關 (B)經AB端反射後的波形為直線 (C)起波器所發出的水波和反射波的合成波是駐波 (D)實驗時,水波槽正下方白紙上所見的亮紋代表水波的波谷位置 (E)反射波可視為由位在OO'連線的延長線上、距離O'點為D的一個假想波源所產生。