阿摩線上測驗
登入
首頁
>
電磁學
> 95年 - 095年高等一級暨二級光電工程(二級)#38413
95年 - 095年高等一級暨二級光電工程(二級)#38413
科目:
電磁學 |
年份:
95年 |
選擇題數:
0 |
申論題數:
10
試卷資訊
所屬科目:
電磁學
選擇題 (0)
申論題 (10)
⑴如圖一所示,一金屬球殼帶有正電荷 Q>0,其內半徑為 a、外半徑為 b,球殼內 與球心 O 距離為 r 之處,有一電量為 q>0 之點電荷,試求該球心 O 處的電位。
⑵一圓環形電流圈,半徑為 r、攜帶電流 i,試求在垂直其環面之對稱軸上、與圓心 距離 x 處之磁場強度。(20 分)
⑴試求距離圓心 r 處的感應電場強度。
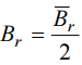
【已刪除】⑵今若欲使真空環中 被加速做圓周運動(半徑為 r)的電子,其半徑不變,試證
,B
r
為半徑 r 處 的磁場強度,
則為小於半徑 r 範圍內的平均磁場強度。(20 分)
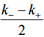
【已刪除】三、證明均勻平面電磁波在各向異性(anisotropic)的電介質中傳播時,線偏振波的偏 振方向按照每公尺
弧度的速率旋轉。 k
−
、 k
+
各代表左圓偏振波及右圓偏振波 的波數(wave number)。(20 分)
⑴球面上的表面電流密度。
⑵球心處的磁場强度。
⑶此球的磁轉矩(magnetic moment)。
⑴當工作波長各為 6cm、4cm、1.8cm 時,波導可能傳輸那些模式?
⑵為保證此波導只能傳輸 TE
10
模式,工作波段範圍為:其最長波長比 TE
10
模式的臨界 波長短 10%,而最短波長則比 TE
20
模式的臨界波長長 10%,試求此波段之範圍。
相關試卷
115年 - 115 身心障礙特種考試_三等_電子工程:電磁學#138984
115年 · #138984
114年 - 114 地方政府公務特種考試_三等_電子工程、電信工程:電磁學#134740
114年 · #134740
114年 - 114 公務升官等考試_薦任_電子工程、電信工程:電磁學#133233
114年 · #133233
114年 - 114 高等考試_三級_電子工程、電信工程:電磁學#128778
114年 · #128778
113年 - 113 地方政府公務特種考試_三等_電子工程:電磁學#124547
113年 · #124547
113年 - 113 高等考試_三級_電子工程、電信工程:電磁學#121507
113年 · #121507
112年 - 112 地方政府特種考試_三等_電子工程:電磁學#118373
112年 · #118373
112年 - 112 公務升官等考試_薦任_電子工程、電信工程:電磁學#117309
112年 · #117309
112年 - 112 高等考試_三級_電子工程、電信工程:電磁學#115766
112年 · #115766
111年 - 111 地方政府特種考試_三等_電子工程:電磁學#112356
111年 · #112356