阿摩線上測驗
登入
首頁
>
自動控制學
> 96年 - 096年地方自動控制#50568
96年 - 096年地方自動控制#50568
科目:
自動控制學 |
年份:
96年 |
選擇題數:
0 |
申論題數:
9
試卷資訊
所屬科目:
自動控制學
選擇題 (0)
申論題 (9)
【已刪除】一、如下圖電壓 e
1
是輸入而電壓 e
2
是輸出,推導其傳遞函數(transfer function)。(10 分)
二、試繪出比例-積分-微分控制系統(PID control system)的控制方塊圖(control block diagram),其中比例-積分-微分控制器作用於受控體(plant),而且比例、 積分、微分等三個控制器必須以傳遞函數(transfer function)的形式呈現在三個個 別的方塊裡。(10 分)
三、說明伺服機構(servomechanism)的意義。(10 分)一般家庭裡頭常見居家用品也 可能應用到伺服機構,試舉出任一種居家用品的伺服機構,繪圖並且說明該伺服機 構的運作原理。(10 分)
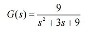
【已刪除】四、求出下列系統的阻尼比(damping ratio)和自然頻率(natural frequency)。(10 分)
五、已知特徵方程式(characteristics equation)為 s
4
+ 22 s
3
+ 5s
2
+ 10 + K)s + 15 = 0 ( 求出其穩定條件。(10 分)
⑴如下圖之系統形式(system type)是什麼?(4 分)
⑵求其位置誤差常數(position error constant)與速度誤差常數(velocity error constant)。 (6 分)
【已刪除】 ⑶如果輸入
,求系統之穩態誤差(steady state error)。(10 分)
七、試證明特徵根(characteristics root)的阻尼比(damping ratio)ζ = 0.707 往往是最佳 阻尼比的大小。(10 分)在複數平面上標示阻尼比ζ = 0.707 所代表的地方。(10 分)
相關試卷
115年 - 115 關務特種考試_三等_機械工程(選試英文):自動控制#138983
115年 · #138983
114年 - 114 高等考試_二級_機械工程:自動控制學#131590
114年 · #131590
114年 - 114 關務特種考試_三等_機械工程(選試英文):自動控制#126653
114年 · #126653
113年 - 113-2 國營臺灣鐵路股份有限公司_從業人員甄試_第8階-助理工程師-電機:自動控制#137141
113年 · #137141
113年 - 113 高等考試_二級_機械工程:自動控制學#123065
113年 · #123065
113年 - 113 關務特種考試_三等_機械工程(選試英文):自動控制#119475
113年 · #119475
112年 - 112 地方政府特種考試_三等_機械工程:自動控制#118354
112年 · #118354
112年 - 112 高等考試_二級_機械工程:自動控制學#116760
112年 · #116760
112年 - 112 高等考試_三級_機械工程:自動控制#115741
112年 · #115741
112年 - 112 關務特種考試_三等_機械工程:自動控制#113920
112年 · #113920