阿摩線上測驗
登入
首頁
>
電磁學
> 97年 - 097年高等一級暨二級2級_光電工程#38236
97年 - 097年高等一級暨二級2級_光電工程#38236
科目:
電磁學 |
年份:
97年 |
選擇題數:
0 |
申論題數:
5
試卷資訊
所屬科目:
電磁學
選擇題 (0)
申論題 (5)
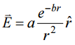
【已刪除】一、空氣中有一靜電荷分布,產生了電場
,其中 a 及 b 為常數。求此靜電荷 的分布與其總電荷量。(20 分)
【已刪除】二、一長直導線沿 z 軸無限延伸,另有一導線形成一三角形電流迴路,其端點分別為 (0, a, b)、(0, a+b, 0)、以及(0, a, -b),其中 a 及 b 為正常數(如圖一)。求此兩導線 間的互感量(mutual inductance)。(20 分)
【已刪除】三、推導同軸電纜(如圖二)之單位長度電感值與單位長度電容值,證明此兩者的乘積等 於 µε,µ及ε分別為同軸電纜內外導體間之絕緣材料的 permeability 以及 permittivity。 (20 分)
【已刪除】四、一有損耗介電材料的本徵阻抗(intrinsic impedance)某一頻率時為200∠30°Ω,如果 此頻率的一平面電磁波通過此材料,其磁場經測得為
, 求此平面電磁波的衰減常數α 。(20 分)
五、在空氣中行進的一平面電磁波正入射在一無損耗材質的平面上,其反射係數經測得 為負四分之一,穿透進入此無損耗材質的電磁波其行進速度則降為原空氣中速度的 三分之一,求此材質的 relative permittivity 以及 relative permeability。如果要使反射 量降至為零,請問應該如何設計?(20 分)
相關試卷
115年 - 115 身心障礙特種考試_三等_電子工程:電磁學#138984
115年 · #138984
114年 - 114 地方政府公務特種考試_三等_電子工程、電信工程:電磁學#134740
114年 · #134740
114年 - 114 公務升官等考試_薦任_電子工程、電信工程:電磁學#133233
114年 · #133233
114年 - 114 高等考試_三級_電子工程、電信工程:電磁學#128778
114年 · #128778
113年 - 113 地方政府公務特種考試_三等_電子工程:電磁學#124547
113年 · #124547
113年 - 113 高等考試_三級_電子工程、電信工程:電磁學#121507
113年 · #121507
112年 - 112 地方政府特種考試_三等_電子工程:電磁學#118373
112年 · #118373
112年 - 112 公務升官等考試_薦任_電子工程、電信工程:電磁學#117309
112年 · #117309
112年 - 112 高等考試_三級_電子工程、電信工程:電磁學#115766
112年 · #115766
111年 - 111 地方政府特種考試_三等_電子工程:電磁學#112356
111年 · #112356