阿摩線上測驗
登入
首頁
>
測量平差法
> 97年 - 97年專門職業及技術人員高等建築師、技師暨普通記帳士、97年第二次高等暨普通消防設備人員、普通不動產經紀人測量技師#36325
97年 - 97年專門職業及技術人員高等建築師、技師暨普通記帳士、97年第二次高等暨普通消防設備人員、普通不動產經紀人測量技師#36325
科目:
測量平差法 |
年份:
97年 |
選擇題數:
0 |
申論題數:
7
試卷資訊
所屬科目:
測量平差法
選擇題 (0)
申論題 (7)
【已刪除】
一、如圖一所示之水準網,各水準路線之觀測高程差及各水準路線之長度如下表,觀測 高程差之間互相獨立且其權重(weight)與水準路線之長度成反比,請計算各水準 路線觀測高程差之最小平方估計值(least squares estimate)。(20 分)
【已刪除】
二、如圖二所示之三角形,已知邊長 a,b、c 及其標準誤差σ a、σ b、σ c,角度α 及其標 準誤差σ α,如下表所示:
請計算邊長 a,b、c 及角度α 之最小平方估計值。(20 分)
⑴觀測量之中是否有錯誤?若有,應如何處理?(5 分)
⑵觀測量之中是否有系統誤差?若有,應如何處理?(5 分)
⑶請計算三角形之面積及面積之標準誤差。(10 分)
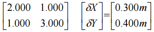
【已刪除】四、某一測站之座標 X、Y 利用最小平方法求得,座標之起始近似值 X
0
=100.000m, Y
0
=150.000m,其求解之法方程式為:
假設參考變方(reference varience)取
=0.040m
2
,如果求解時只需重複漸進法 (iteration)ㄧ次即可,請計算座標 X、Y 之標準誤差σ
x
、σ
y
以及標準誤差橢圓之 長半軸 a、短半軸 b、長半軸與 X 軸之夾角θ 。(20 分)
【已刪除】五、某一個角度用經緯儀觀測了 12 個測回,其觀測值如下表:
現在懷疑在第 6 次與第 7 次之間經緯儀受到撓動,請以 0.05 之顯著水準來判定經緯 儀是否受到撓動。t 分布之分位值如下表、其中α 表顯著水準、ν 表自由度、t 表分 位值。(20 分)
相關試卷
114年 - 114 專技高考_測量技師:測量平差法#133674
114年 · #133674
113年 - 113 專技高考_測量技師:測量平差法#123916
113年 · #123916
112年 - 112 地方政府特種考試_四等_測量製圖:測量平差法概要#118357
112年 · #118357
112年 - 112 地方政府特種考試_三等_測量製圖:測量平差法#118336
112年 · #118336
112年 - 112 專技高考_測量技師:測量平差法#117672
112年 · #117672
112年 - 112 原住民族特種考試_四等_測量製圖:測量平差法概要#116432
112年 · #116432
112年 - 112 高等考試_三級_測量製圖:測量平差法(包括誤差理論及實務)#115538
112年 · #115538
112年 - 112 普通考試_測量製圖:測量平差法概要#115315
112年 · #115315
111年 - 111 地方政府特種考試_三等_測量製圖:測量平差法#112400
111年 · #112400
111年 - 111 地方政府特種考試_四等_測量製圖:測量平差法概要#112399
111年 · #112399