阿摩線上測驗
登入
首頁
>
技師◆材料力學
> 98年 - 98年專門職業及技術人員高等建築師、技師、消防設備師、普通不動產經紀人、記帳士、第二次消防設備士暨語言治療師結構工程技師#35599
98年 - 98年專門職業及技術人員高等建築師、技師、消防設備師、普通不動產經紀人、記帳士、第二次消防設備士暨語言治療師結構工程技師#35599
科目:
技師◆材料力學 |
年份:
98年 |
選擇題數:
0 |
申論題數:
6
試卷資訊
所屬科目:
技師◆材料力學
選擇題 (0)
申論題 (6)
【已刪除】一、圓形斷面桿件如圖一所示,受一對軸力(P) 圖一 P T P 與扭矩(T)。當 P=90 kN、T=5 kN•m, T 圓形斷面半徑為 10 cm;試求最大剪應力。 (20 分)
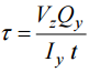
【已刪除】二、試推導開口薄壁梁(beam of thin-walled open cross section)之剪應力公式:
, 推導中須將各變數或符號定義清楚。(15 分)
【已刪除】三、一半無限梁置於彈性基礎上,在 x=a 處受 P 一點荷重 P(如圖二所示),試求該梁之 變形,假設梁之 EI 為常數、梁與彈性基礎 不分離。(20 分)
⑴該梁之變形。(15 分)
⑵挫屈臨界載重P
cr
。(10 分)
【已刪除】五、一矩形斷面梁(高 h、寬 b)受一對彎矩 M 的 C A B O εy εh σy 作用,其材料之應力-應變(σ −ε )關係如 圖四所示(OA 段斜率為 E, AB 段為水平, BC 段斜率為
;σ 可為壓應力,亦可為拉應力)。 試求彎矩 M 與曲率κ 之關係,假設變形前後, 平面維持平面。(20 分)
相關試卷
114年 - 114 專技高考_結構工程技師:材料力學#133661
114年 · #133661
114年 - 114 專技高考_大地工程技師(ㄧ):材料力學#127506
114年 · #127506
113年 - 113 專技高考_結構工程技師:材料力學#123908
113年 · #123908
113年 - 113 專技高考_大地工程技師(ㄧ):材料力學#120298
113年 · #120298
112年 - 112 專技高考_結構工程技師:材料力學#117648
112年 · #117648
112年 - 112 專技高考_大地工程技師(ㄧ):材料力學#114622
112年 · #114622
111年 - 111 專技高考_結構工程技師:材料力學#111960
111年 · #111960
111年 - 111 專技高考_大地工程技師(一):材料力學#108382
111年 · #108382
110年 - 110 專技高考_結構工程技師:材料力學#104219
110年 · #104219
110年 - 110 專技高考_大地工程技師(一):材料力學#101386
110年 · #101386