所屬科目:技師◆材料力學
一、圖一中之結構,桿件 AC 及 BC 為彈性體,有相同材料,相同密度,受 到外力 P 作用。BC 桿長度固定,但 AC 桿的長度隨角度θ 改變而改變。 在 AC 及 BC 桿內部之應力沒超過其允許應力(allowable stress)情 況下,求角度θ 使結構有最小重量。(25 分)
(一)在扭矩 T = 10 kN ●m 作用下,若A、D 兩端間之允許扭轉角 =15°, 則長 x =?
(二) 若 黃 銅 套 管 允 許 剪 應 力; 鋼 桿 允 許 剪 應 力 = ?
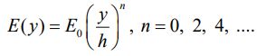
三、矩形截面之懸臂梁受彎矩 M 0 作用,如圖三所示。此梁之楊氏模數沿著 y 軸呈函數變化:(25 分) 設此梁之應力~應變關係為 σ ( y ) = E ( y )ε ,求梁之最大應力 。
四、長為 L 之非等截面彈性立柱 ABC,A 端為固定端,在 C 端連接彈力常數 為 β 之線彈簧,如圖四所示。以微分方程的方法推導此立柱之挫屈方程 式(buckling equation) ,答案以行列式表之即可。(25 分)