阿摩線上測驗
登入
首頁
>
技師◆結構動力分析與耐震設計
> 98年 - 98年專門職業及技術人員高等建築師、技師、消防設備師、普通不動產經紀人、記帳士、第二次消防設備士暨語言治療師結構工程技師#35789
98年 - 98年專門職業及技術人員高等建築師、技師、消防設備師、普通不動產經紀人、記帳士、第二次消防設備士暨語言治療師結構工程技師#35789
科目:
技師◆結構動力分析與耐震設計 |
年份:
98年 |
選擇題數:
0 |
申論題數:
5
試卷資訊
所屬科目:
技師◆結構動力分析與耐震設計
選擇題 (0)
申論題 (5)
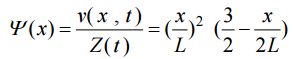
【已刪除】一、右圖的柱可視為單自由度系統,且其變位形狀函數被定義為
設每單位長度的均佈質量為
,均佈剛性為 EI 及均佈荷重為
(t),請算出廣義物理性質m
∗
, k
∗
及廣義荷重 p
∗
(t)。(25 分)
二、重 6,500 1b 的篩分析機在全面操作時,會使其支承承受一幅度為 700 1b,頻率為 12 Hz 的諧和力。當此機安裝於彈簧型隔振器上後,支承所受到的諧和力之幅度減為 50 1b。請定出隔振系統的彈簧勁度 k。(25 分) 假設:ξ= 0
⑴說明規範耐震設計基本原則之條文。(12 分)
⑵解說規範考量的三種地震水準及耐震設計目標。(13 分)
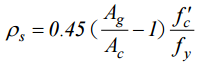
【已刪除】四、依結構混凝土設計規範,螺箍筋之體積比ρ s不得小於下式之值:
式中 f
y
為螺箍筋設計所用之規定降伏強度, f′
c
= 350 kgf/cm
2
,f
y
= 4,200 kgf/cm
2
。 檢核右方配置之箍筋圖是否符合結構混凝土 設計規範。(25 分)
相關試卷
114年 - 114 專技高考_結構工程技師:結構動力分析與耐震設計#133722
114年 · #133722
113年 - 113 專技高考_結構工程技師:結構動力分析與耐震設計#123965
113年 · #123965
112年 - 112 專技高考_結構工程技師:結構動力分析與耐震設計#117673
112年 · #117673
111年 - 111 專技高考_結構工程技師:結構動力分析與耐震設計#111962
111年 · #111962
110年 - 110 專技高考_結構工程技師:結構動力分析與耐震設計#104229
110年 · #104229
110年 - 110 公務升官等考試_薦任_結構工程:結構動力分析與耐震設計#103465
110年 · #103465
109年 - 109 專技高考_結構工程技師:結構動力分析與耐震設計#93293
109年 · #93293
108年 - 108 專技高考_結構工程技師:結構動力分析與耐震設計#80691
108年 · #80691
108年 - 108 公務人員升官等公務簡任_結構工程:結構動力分析與耐震設計研究#80529
108年 · #80529
107年 - 107 專技高考 結構動力分析與耐震設計#72933
107年 · #72933