阿摩線上測驗
登入
首頁
>
測量平差法
> 98年 - 98年專門職業及技術人員高等建築師、技師、消防設備師、普通不動產經紀人、記帳士、第二次消防設備士暨語言治療師測量技師#35831
98年 - 98年專門職業及技術人員高等建築師、技師、消防設備師、普通不動產經紀人、記帳士、第二次消防設備士暨語言治療師測量技師#35831
科目:
測量平差法 |
年份:
98年 |
選擇題數:
0 |
申論題數:
9
試卷資訊
所屬科目:
測量平差法
選擇題 (0)
申論題 (9)
【已刪除】
【題組】
⑴試證明
= Χ (10 分)
【已刪除】
【題組】
⑵殘差向量V 定義為
,試求V 之協變方矩陣(10 分)
⑴求各基線分量之殘差(共 6 個)(10 分)
⑵利用⑴結果求 B、C 之座標(10 分)
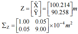
【已刪除】三、一平面控制網共有 10 個未知點(即 20 個未知數),利用 50 個角、邊觀測量平差 後得到其中一點之座標估值及其協變方矩陣:
試繪出該點之 95%信心橢圓。必須標出該橢圖之⑴中心點 ⑵長短軸 ⑶長軸相對 於X方向之夾角。下表為F
0.95
(n
1
, n
2
)值,F
0.95
(n
1
, n
2
)表示F分布變數小於該值之機率 為 0.95,n
1
, n
2
分別為第一、二自由度。(20 分)
⑴何謂矩陣之虛擬逆?(10 分)
【題組】
⑵N為法矩陣。試證明N
+
(即N之pseudo inverse)為一對稱矩陣。 (註:N 亦對稱)(10 分)
⑴如果在既有的觀測量中,欲加入若干求解參數之間的約制條件,如何進行?是否 有簡易的方法修改既有電腦程式而達到加入約制條件目的?(10 分)
⑵何謂最小約制平差?試舉一實例說明之。(10 分)
相關試卷
114年 - 114 專技高考_測量技師:測量平差法#133674
114年 · #133674
113年 - 113 專技高考_測量技師:測量平差法#123916
113年 · #123916
112年 - 112 地方政府特種考試_四等_測量製圖:測量平差法概要#118357
112年 · #118357
112年 - 112 地方政府特種考試_三等_測量製圖:測量平差法#118336
112年 · #118336
112年 - 112 專技高考_測量技師:測量平差法#117672
112年 · #117672
112年 - 112 原住民族特種考試_四等_測量製圖:測量平差法概要#116432
112年 · #116432
112年 - 112 高等考試_三級_測量製圖:測量平差法(包括誤差理論及實務)#115538
112年 · #115538
112年 - 112 普通考試_測量製圖:測量平差法概要#115315
112年 · #115315
111年 - 111 地方政府特種考試_三等_測量製圖:測量平差法#112400
111年 · #112400
111年 - 111 地方政府特種考試_四等_測量製圖:測量平差法概要#112399
111年 · #112399