所屬科目:高中(學測,指考)◆數學
1. 若實數 , 則 a 在哪兩個連續整數之間? (A) 0 與 1 (B) 1 與 2 (C) 2 與 3 (D) 3 與 4 (E) 4 與 5
2. 在下列三角形中,哪一個的面積最大? (A)(B)(C)(D)(E)
5. 伸出你的左手,從大拇指開始,如下圖所示那樣數數字 1, 2 , 3 , 4 , 5 , 6 , 7 , 8 , 9 ,10 ,… 數到 999 時,你數在哪個手指上?(A)大拇指(B)食指(C)中指(D)無名指(E)小指
6. 在 ∆ABC 中,已知 2sinA+3cosB=且 3sinB+ 2cosA=, 則 ∠C之度數為 (A) 30° (B) 60° (C) 90° (D) 120° (E) 150°
8. 有一次數學考試,某班40位同學成績的累積次數分配折線圖如下(各組含下限但不含上限),根據圖中資料,選出正確的選項:(A) 全班分數之全距 ≤ 50 (B) 全班最低分是 30 (C) 全班恰有 20 人的分數 ≤ 55 (D) 全班分數的中位數 ≥ 50 (E) 全班平均分數 ≥ 50
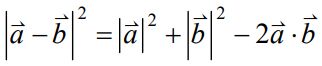
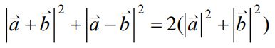
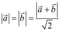
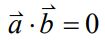
10. 設是兩個非零向量,下列哪些選項中的條件可以推得 互相垂直? (A) (B)(C)(D) (E)
11. 數列〈an〉滿足:an 為 log2n 的整數部分,選出正確的選項: (A)〈an〉的最小值為1(B) a9 = 3 (C) 數 列〈an〉 有8項是3(D) 若an=k, k為正整數,則2k ≤n<2k+1(E)
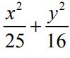
A. 若右圖之橢圓方程式為= 1, A、 B 為橢圓的兩焦點,為橢圓上一點,則∆PAB的周長為 __⑫⑬__ 。
B. 設, 若 f(a)-f(b)=6, 則 = __⑭⑮__。
C. 若直線 3x+4y=8 垂直且平分線段 , 又 A點坐標為 (1,1) ,則線段 的長度為
E.將5個A和3個 B任意排列。我們將連續的相同字母畫一底線定義為一個「連串 」,例如 ABBABAAA畫記為 A BB A B AAA,其連串數是 5。又如: AAA BBB AA的 連串數是 3。則5個A和3個B任意排列後,連串數為3的機率為。( 以 最簡分數表示)
F. 若拋物線 y=2x2-12x+18+5a與 y=-5x2+10bx+8-5b2有相同的頂點,則此頂點坐標為。
G. 假設一個容器裡面有1個1號球, 2 個 2 號球,…, 20個20號球,現自容器中任取一球,設每個球被取到的機率相同,而取得 n號球可得獎金 (50 ) − n 元 , 1≤n ≤ 20 ,則任取一球可得獎金的數學期望值為元 。(以最簡分數表示)
H. 如下圖,若 ABCD 為正方形, M 為的中點, N 為的三等分點,其中∠ = MANθ , 則 sinθ =
I. 已知空間中有兩個半徑相同的球,兩球相交且交集完全落在平面 4x+6y+12z= 49中。若其中一球的球心是原點,則另一球的球心坐標為。