阿摩線上測驗
登入
首頁
>
統計學
> 98年 - 98 身心障礙特種考試_三等_經建行政:統計學#48254
98年 - 98 身心障礙特種考試_三等_經建行政:統計學#48254
科目:
統計學 |
年份:
98年 |
選擇題數:
0 |
申論題數:
5
試卷資訊
所屬科目:
統計學
選擇題 (0)
申論題 (5)
⑴令 p 表示狗會選擇 A 飼料的機率。當您要檢定 p 值,您會給何假設?(10 分)
⑵請問虛無假設為真時的機率分配為何?(15 分)
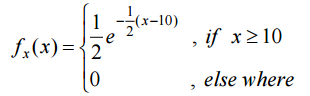
二、一位投資人打算把手上兩種股票在明天股票市場開市時賣掉其中一種。若X1及X2表 示這兩種股票之每股價格。我們假設X1及X2獨立且分配相同,具有下列機率密度函 數:
如果他賣掉開市時股票價格較高的一種。請問他賣出每股之期望值為多少?(25 分)
三、某位小學老師想知道小朋友對荔枝、香蕉及龍眼三種水果是否有偏好。我們可以
令P
1
, P
2
, P
3
依序表示小朋友對這三種水果喜好的機率。該老師給 60 位同學自由選
擇三種水果其中一種。其結果為選荔枝有 23 位、香蕉有 20 位、龍眼有 17 位。請
用假設檢定方法在顯著水準α= 0.05 時檢定小朋友對這三種水果是否有不同偏好。
(25 分)
註:令
;
四、考慮簡單迴歸模型: y
i
= β
0
+ β
1
x
i
+ ε
i
,i = 1,…,n。 假設 n = 5,我們有統計量的值:
,請算
出 β
0
及 β
1
的最小平方估計值。(15 分)
另外,若 ε
1
,…, ε
n
為 i.i.d.隨機變數,期望值μ= 0 及變異數 σ
2
= 9 ,當
為 β
0
的最
小平方估計量,請計算
的變異數。(10 分)
相關試卷
115年 - 115 身心障礙特種考試_四等_經建行政:統計學概要#138995
115年 · #138995
115年 - 115 關務特種考試_三等_關稅統計(選試英文):統計學#138987
115年 · #138987
115年 - 115 身心障礙特種考試_三等_統計:統計學#138977
115年 · #138977
115年 - 115 關務特種考試_四等_關稅統計(選試英文):統計學概要#138961
115年 · #138961
115年 - 115 身心障礙特種考試_三等_經建行政:統計學#138960
115年 · #138960
114年 - 114 地方政府公務、離島地區公務特種考試_三等_經建行政、農業行政:統計學#134798
114年 · #134798
114年 - 114 地方政府公務、離島地區公務特種考試_四等_經建行政:統計學概要#134781
114年 · #134781
114年 - 114 地方政府公務特種考試_三等_統計:統計學#134714
114年 · #134714
114年 - 114 地方政府公務特種考試_四等_統計:統計學概要#134710
114年 · #134710
114年 - 114 公務升官等考試_薦任_經建行政、工業行政:統計學#133268
114年 · #133268