阿摩線上測驗
登入
首頁
>
高等鋼筋混凝土學與設計
> 98年 - 98 高等考試_二級_土木工程:高等鋼筋混凝土學與設計#33943
98年 - 98 高等考試_二級_土木工程:高等鋼筋混凝土學與設計#33943
科目:
高等鋼筋混凝土學與設計 |
年份:
98年 |
選擇題數:
0 |
申論題數:
5
試卷資訊
所屬科目:
高等鋼筋混凝土學與設計
選擇題 (0)
申論題 (5)
⑴請舉出二種常見 RC 構件,可適用於壓拉桿模式作設計。(10 分)
⑵請說明 ACI 耐震設計特別規定,結構牆設計中,在鋼筋配置主要有那些規定? (15 分)
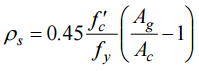
【已刪除】二、試推導 ACI 規定之最小螺箍筋體積比ρ
s
。請務必將推導過程,作適當說明或假設。 (25 分)
三、以二層二跨鋼筋混凝土抗彎構架(moment-resisting frame)為例,就產生彎曲塑鉸 (plastic hinge)而言,試說明當承受強烈地震後之可能破壞機制(failure mechanism), 並比較其韌性能力。(25 分)
【已刪除】四、已知懸臂梁如圖所示,承受均佈靜載重WD=0.7 tf/m(含自重)與均佈活載重W
L
=0.9 tf/m。 混凝土強度f 'c =210 kgf/cm
2
,混凝土彈性模數 E
c
=15000 √f '
c
,混凝土開裂模數 f
r
=2.0√f '
c
,鋼筋降伏強度f
y
=3500 kgf/cm
2
。斷面配置三根D32 鋼筋,每根D32 鋼筋 之A
s
=8.143cm
2
,以ACI規範方式求梁端之即時撓度。(25 分)
相關試卷
114年 - 114 高等考試_二級_土木工程:高等鋼筋混凝土學與設計#131588
114年 · #131588
113年 - 113 高等考試_二級_土木工程:高等鋼筋混凝土學與設計#123081
113年 · #123081
112年 - 112 高等考試_二級_土木工程:高等鋼筋混凝土學與設計#116765
112年 · #116765
111年 - 111 高等考試_二級_土木工程:高等鋼筋混凝土學與設計#111041
111年 · #111041
110年 - 110 高等考試_二級_土木工程:高等鋼筋混凝土學與設計#101945
110年 · #101945
109年 - 109 高等考試_二級_土木工程:高等鋼筋混凝土學與設計#91545
109年 · #91545
108年 - 108 高等考試_二級_土木工程:高等鋼筋混凝土學與設計#79557
108年 · #79557
107年 - 107 高等考試_二級_土木工程:高等鋼筋混凝土學與設計#72401
107年 · #72401
106年 - 106 高等考試_二級_土木工程:高等鋼筋混凝土學與設計#65185
106年 · #65185
104年 - 104 高等考試_二級_土木工程:高等鋼筋混凝土學與設計#31752
104年 · #31752