阿摩線上測驗
登入
首頁
>
測量平差法
> 99年 - 099年高等三級暨普通普_測量製圖#29689
99年 - 099年高等三級暨普通普_測量製圖#29689
科目:
測量平差法 |
年份:
99年 |
選擇題數:
0 |
申論題數:
5
試卷資訊
所屬科目:
測量平差法
選擇題 (0)
申論題 (5)
【已刪除】一、重複等權且獨立直接測量某一距離(或照準某目標),計有 n(>1)次。取該距離 (或目標方向)的算術平均,則其精度相較於單一觀測量精度會提升
倍,試申 論此間之理。(20 分)
二、有三個獨立的隨機變量 a, b 和 c。倘若各測量精度為相同,σ
α
= σ
b
= σ
c
= σ,經差 分運算得到新的隨機變量:x = c − a 與y = b − a 。試依據誤差傳播定律推求新變量中 誤差σx與σy,以及兩變量間的相關係數。(20 分)
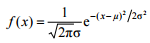
【已刪除】三、常態分配(Normal Distribution)函數能寫成:
,其中變數 µ 和σ各為 x 的期望值與標準差。本對稱函數中心軸左右σ處為函數曲線的反曲點, 試繪圖並配合公式、文字,加以申論之。(20 分)
四、對一未知參數 x,獨立量測 n 次,觀測成果為
x i
±
σi
,σi為xi的中誤差,
i
=1, 2, ..., n。 最小二乘法(Least-Squares Method)旨於極小化量測誤差加權平方和,試逐步明列 以最小二乘法估計 x 之計算式。(20 分)
五、已知相互獨立 n 個時間序列數據 y
i
,i =1, 2, ..., n。今欲以最小二乘法由該時間序列 擬合一直線
f (t)
= mt + c。試以間接平差方式排列,各觀測量為等權觀測誤差方程組, 請以矩陣方式展示,並列出所有向量與矩陣中各別的元素。(20 分)
相關試卷
114年 - 114 專技高考_測量技師:測量平差法#133674
114年 · #133674
113年 - 113 專技高考_測量技師:測量平差法#123916
113年 · #123916
112年 - 112 地方政府特種考試_四等_測量製圖:測量平差法概要#118357
112年 · #118357
112年 - 112 地方政府特種考試_三等_測量製圖:測量平差法#118336
112年 · #118336
112年 - 112 專技高考_測量技師:測量平差法#117672
112年 · #117672
112年 - 112 原住民族特種考試_四等_測量製圖:測量平差法概要#116432
112年 · #116432
112年 - 112 高等考試_三級_測量製圖:測量平差法(包括誤差理論及實務)#115538
112年 · #115538
112年 - 112 普通考試_測量製圖:測量平差法概要#115315
112年 · #115315
111年 - 111 地方政府特種考試_三等_測量製圖:測量平差法#112400
111年 · #112400
111年 - 111 地方政府特種考試_四等_測量製圖:測量平差法概要#112399
111年 · #112399