阿摩線上測驗
登入
首頁
>
統計學
> 99年 - 99 普通考試_統計、經建行政、交通技術:統計學概要#46698
99年 - 99 普通考試_統計、經建行政、交通技術:統計學概要#46698
科目:
統計學 |
年份:
99年 |
選擇題數:
0 |
申論題數:
11
試卷資訊
所屬科目:
統計學
選擇題 (0)
申論題 (11)
⑴請計算出上述觀察值之 Z 分數(Z-score)。(10 分)
⑵請說明 20 是否可以視為是一個離群值(outlier)?(5 分)
⑴假設有一隨機變數 U,而且已知其 E (U ) = 4 , E (U
2
) = 25 ,請計算出 Pr(0 < U < 8) 機率之下界值?(10 分)
⑵假設有一隨機變數 V,而且已知其 Pr(V ≥ 8) = 0.4 , Pr(V ≤ 4) = 0.2 , E (V ) = 6 ,請 計算出 V 的變異數( σ
2
V )之下界值?(10 分)
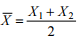
⑴請計算出
之抽樣分配?(10 分)
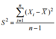
⑵請計算出 S 2 之抽樣分配?(提示
)(10 分)
⑴請求 X 與 Y 之樣本相關係數 r
x, y
?(5 分)
⑵請求出迴歸線
?(5 分)
⑶請求出斜率之 95%信賴區間?(5 分)
⑷請用 F-檢定迴歸線是否顯著?(顯著水準=0.05)(10 分)
五、假設以下 20 筆資料是某班級同學統計學期末考分數: 17, 18, 22, 27, 30, 30, 43, 46, 54, 63, 66, 71, 75, 82, 82, 88, 91, 93, 97, 99 請以顯著水準=0.05檢定這20位同學統計學期末考分數是否為常態分配?(此20筆之 平均數 X = 59.7 ,標準差 S = 28.6 )。(20分)
相關試卷
115年 - 115 身心障礙特種考試_四等_經建行政:統計學概要#138995
115年 · #138995
115年 - 115 關務特種考試_三等_關稅統計(選試英文):統計學#138987
115年 · #138987
115年 - 115 身心障礙特種考試_三等_統計:統計學#138977
115年 · #138977
115年 - 115 關務特種考試_四等_關稅統計(選試英文):統計學概要#138961
115年 · #138961
115年 - 115 身心障礙特種考試_三等_經建行政:統計學#138960
115年 · #138960
114年 - 114 地方政府公務、離島地區公務特種考試_三等_經建行政、農業行政:統計學#134798
114年 · #134798
114年 - 114 地方政府公務、離島地區公務特種考試_四等_經建行政:統計學概要#134781
114年 · #134781
114年 - 114 地方政府公務特種考試_三等_統計:統計學#134714
114年 · #134714
114年 - 114 地方政府公務特種考試_四等_統計:統計學概要#134710
114年 · #134710
114年 - 114 公務升官等考試_薦任_經建行政、工業行政:統計學#133268
114年 · #133268