題組內容
四、假設給定如下資料:
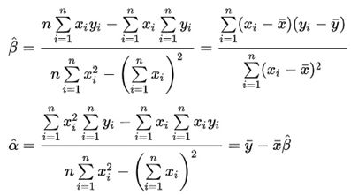
⑵請求出迴歸線
?(5 分)
詳解 (共 2 筆)
詳解

詳解
(WIKI)