阿摩線上測驗
登入
首頁
>
航空器液壓系統
> 99年 - 99 高等考試_三級_航空器維修:航空器液壓系統#46692
99年 - 99 高等考試_三級_航空器維修:航空器液壓系統#46692
科目:
航空器液壓系統 |
年份:
99年 |
選擇題數:
0 |
申論題數:
8
試卷資訊
所屬科目:
航空器液壓系統
選擇題 (0)
申論題 (8)
一、航空器用液壓閥之節流口一般是設計成孔口(orifice)的型式,請寫出通過孔口之 流量方程式(請自行定義相關參數),並請說明此一流量值是否會受到溫度變化的 影響?(20 分)
⑴一個 4 口 3 位電磁方向閥來控制單桿液壓缸升降。
⑵垂直擺置之單桿液壓缸不會因自重而下降之安全設計。
⑶完整之動力單元(power unit)。
⑴請計算 A、B、C 各點壓力的值。(10 分)
⑵若液壓缸運動速度v
1
=100 cm/min,v
2
=120 cm/min,請計算洩壓閥 1、節流閥 2 及減壓閥 3 之通過流量。(10 分)
四、航空液壓系統有時會出現空氣侵蝕(cavitation)的現象,形成噪音並對液壓元件造 成損壞,請說明 cavitation 現象的成因及避免方法。(20 分)
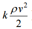
五、如圖 2 所示,液壓缸有效面積A=0.2 m
2
,運動速度v=0.6 m/min,液壓缸左油室壓力p1 =80 bar,假設液壓油密度ρ=900 kg/m
3
。若止回閥之阻力係數k
1
=3,油通過面積a
1
=1.6×10
-4
m
2
;4 口 2 位方向閥之阻力係數k
2
=4,油通過面積a2=1.6×10
-4
m
2
;節流 閥之阻力係數k
3
=10,油通過面積a
3
=1×10
-4
m
2
,且忽略管路摩擦損失,請計算液 壓泵之出口壓力應為多少bar?(20 分) [附註:通過液壓閥之壓力損失公式為:
]
相關試卷
111年 - 111 高等考試_三級_航空器維修:航空器液壓系統#109449
111年 · #109449
110年 - 110 高等考試_三級_航空器維修:航空器液壓系統#102418
110年 · #102418
109年 - 109 高等考試_三級_航空器維修:航空器液壓系統#88969
109年 · #88969
108年 - 108 高等考試_三級_航空器維修:航空器液壓系統#77850
108年 · #77850
106年 - 106 高等考試_三級_航空器維修:航空器液壓系統#63429
106年 · #63429
105年 - 105 高等考試_三級_航空器維修:航空器液壓系統#54414
105年 · #54414
104年 - 104 高等考試_三級_航空器維修:航空器液壓系統#42632
104年 · #42632
103年 - 103 高等考試_三級_航空器維修:航空器液壓系統#43125
103年 · #43125
102年 - 102 高等考試_三級_航空器維修:航空器液壓系統#44119
102年 · #44119
100年 - 100 高等考試_三級_航空器維修:航空器液壓系統#45694
100年 · #45694