阿摩線上測驗
登入
首頁
>
工程力學(含靜力學、動力學與材料力學)
> 99年 - 99-2 臺灣菸酒股份有限公司_從業人員(相當評價職位人員)甄試_第2職等/機械技術員、鍋爐技術員:工程力學#35871
99年 - 99-2 臺灣菸酒股份有限公司_從業人員(相當評價職位人員)甄試_第2職等/機械技術員、鍋爐技術員:工程力學#35871
科目:
工程力學(含靜力學、動力學與材料力學) |
年份:
99年 |
選擇題數:
40 |
申論題數:
0
試卷資訊
所屬科目:
工程力學(含靜力學、動力學與材料力學)
選擇題 (40)
1.質量5 kg的物體欲產生980 cm/sec
2
的加速度,所需的力爲若干牛頓? (A) 5 N (B) 49 N (C) 500 N (D) 4900 N .
2•應力5GPa可記爲: (A) 5 N/mm
2
(B) 500 N/mm
2
(C) 5000 N/mm
2
(D) 50000 N/mm
2
。
3•兩力作用於一點。當彼的合力爲最大時,兩力的夾角爲 (A)0° (B)45° (C)90°(D) 180°
4•在【圖4】中,50 N之力對B點的力矩爲苦干N•m?(A)0 (B)240 (C)360 (D)480
5_下列有關力偶的敘述,何者錯誤? (A)力偶的合力仍爲力偶 (B)力偶的大小與力偶矩中心位置有關 (C)力偶的旋轉方向爲力偶的一要素 (D)力偶無法用單一力平衡之
6•利用卡氏座標,【圖6】中支承A的反作用力,用向量式表示爲何? (A)-80i + 96j (B) 80i-96j (C)-80i + 36j (D)80i-36j
【圖6】
7•通過空問一點的兩個外力分別爲4 i + j -2 k與-2 i +2 j + 8 k(單位爲N),其合力爲 (A)7N (B)8N (C)9N (D)10N
8_大小爲220 N的力由座標點(4,-2,-1)指向(11,-8,5)。此力在x向的分力爲: (A) 110N (B) 120N (C) 140N (D) 160N
9•下列有關平面桁架的敘述,何者錯誤? (A)桁架構件爲二力桿件 (C)外力均作用於節點 (B)桁架也常用於屋頂結構 (D)每一節點的平衡方程式有三個
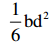
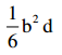
10_長方形截面寬b、高d,如【圖10】所示,X軸與y軸爲其形心軸,對X軸的斷面模數爲 (A)
(B)
(C)
(D)
11_一等向性材料的彈性模數爲2 (10
7
) N/cm
2
,蒲松比爲0_25,則剪力彈性模數(Shear elasticity modulus) 爲苦干N/cm
2
? (A) 4(10
6
) (B) 8(10
6
) (C)16(10
6
) (D)25(10
6
)
12.相同質量、相等直徑的圖球與圖柱 動摩擦,則何者會先抵達斜坡下方? (A)圓柱先抵達 (B)圓球先抵達 (C)兩者同時抵達 (D)無法判斷
13•有關壓力之敘述,下列何者錯誤? (A)壓力之物理量爲單位面積之受力大小 (B)靜水壓(hydrostatic pres sure)在同一位置各個方向的大小皆相等 (C)MPa爲壓力單位 (D)一個大氣壓約可將水柱提升75公分
14.往上投擲一顆球,當球達到最高點準備下墜時,下列何者正確? (A)球之加速度爲零 (B)球處於靜平衡狀態 (C)球之動量(momentum)爲零 (D)球之受力合力爲零
15.下列哪一物理量爲非向量? (A)速度 (B)力矩 (C)角動量 (D)功率
16一受軸向拉力之桿件,其彈性變形量與下列何者無關?; (A)材料之降伏強度 (B)材料之楊氏係數 (C)桿件截面積大小 (D)桿件長度
17.一受軸向拉力之桿件,截面爲10 mmx15 mm之長方形,材料之對應強度為100MPa,若安全係數為2.0,則其容許拉力負載爲多少? (A) 7.5kN (B) 15kN (C) 30kN (D)60KN .
18•下列有關外力作功的敘述,何者錯誤? (A)定値力作功爲力與位移向量之點積(dot product) (B)定値力矩作功爲力矩與角位移向量之叉積(cross product) (C)軸向拉伸試驗之施力作功爲負載-變形曲線下與橫軸問之面積 (D)拉伸線性彈簧所作之功爲施力乘以變形之一半
19•高速鐡路車廂苦以每小時288公里(即速度爲80m/s)速度直行,若駕駛员踩死煞車,而輪子與鐡 軌間之摩擦係數爲0.5,重力加速度爲10.0 m/s
2
,則車廂需多少距離才能煞停? (A) 320 m (B) 640 m (C) 800 m (D) 4000 m
20•在x-y平面上之一質點,x方向有30 N之作用力,y方向有40 N之作用力,則作用在此質點之ft 力爲多少? (A) 50N (B) 70N (C) 120N (D) 1200 N
21.解一個三維(3 dimension)剛體(rigidbody)之靜平衡問題,最多可寫出幾個平衡方程式? (A)1個 (B)2個 (C)3個 (D)6個
22.有一質點在一直線上移動,其位移運動方程式爲x=20+10t-5t
2
,則其運動屮之最大位移x
max
為多少? (A)20 (B)25 (C)10 (D)35
23.—般延展性材料在作拉伸試驗時,當應力達到下列哪一強度時,會產生頸縮(necking)的現象? (A)比例限(proportional limit) (B)彈性限(elastic limit) (C)降伏強度(yield strength) (D)抗拉強度(ultimate tensile strength)
24•有一水平放置之簡支樑(simply-supported beam),長度爲0.5m,於樑中間跨距處承受一向下之集中負載100N,則樑中所產生之最大彎曲力矩爲多少? (A) 12.5 N-m (B) 25 N-m (C) 50 N-m (D) 200 N-m
,試求其行力爲多少? (A)10N (B) 1000 N (C) 1500 N (D) 3000 N
【題組】
26•如【上題圖25】之懸臂樑,分佈力對固定端之總彎矩爲多少? (A) 30 N-m (B) 150 N-m (C) 200 N-m (D) 300 N-m
27_ P、Q、R爲三個力量向量,下列之向量運算何者錯誤?
(A) P+(Q+R)=(P+Q)+R
(B) P•(Q+R)=( R+Q)•P
(C) Px(Q•R)=Px(R•Q)
(D)(PxQ)•R=(QxR)•P
28.有一風扇馬達之轉速爲1200 rpm,則此馬達在30秒內轉了多少圈? (A) 3600 圈(B) 600圈 (C) 1200 圈 (D) 1800圈
29•如【圖29】所示之圓柱重量W,由兩側45°之無摩擦斜面支撐固定,試求在平衡時兩側斜面分別 之作用力大小? (A) W/2 (B) W/√2 (C)W (D) √2W
30•下列有關力量向量之分解分量,何者錯誤? (A)一個平面上力量至少可分解爲2個分量 (B)力量之分解分量,其大小(magnitude)必定小於原力量 (C)各分解分量之向量和(vector sum)即爲原力量 (D)在直角座標系,一個力量在某一方向之分量可以力量向量與該方向之單位向量點積(dot product)求得
31•—圓形桿件承受軸向扭矩,材料爲線彈性(linearly elastic)材料,下列敘述何者錯誤? (A)將桿件做成中空可有效提高材料之使用效率 (B)桿件之扭轉變形角度與桿件長度成正比 (C)剪應力與由軸心之距離半徑成正比 (D)應變能(strain energy)與所受扭矩成線性正比
32•有一承受軸向拉力之桿件,受力爲1000 N,桿件截面積爲10 mm
2
,則下列有關桿件應力之敘述, 何者錯誤? (A)桿件之軸向應力爲100 MPa (B)桿件材料內之最大主應力(principal stress)爲100 MPa (C)桿件材料內之最大剪應力(maximum shear stress)爲50 MPa,且發生在與軸向成45°之平面上 (D)在與軸向成45°之平面上,沒有正向應力
33.有一人站於以速度30 m/s水平行駛之火車上,並以5 m/s之速度往上跳,試問此時人之絕對速度爲 多少? (A) 5 m/s (B) 25 m/s (C) 35 m/s (D)
34.有一物體放置於一斜面上,斜面與水平方向之夾角爲θ,重力加速度爲在垂直方向向下,當逐漸增 加斜面角度,而於θ=θs時,物體開始下滑,則此物體與斜面問之最大靜摩擦係數爲: (A) sinθs (B) cosθs (C) tanθs (D) cotθs
35•對一承受彎Ci(bending moment)之直樑,下列敘述何者錯誤? (A)中性軸通過截面之形心(centroid) (B)中性軸上彎曲應力爲零 (C)中性軸之兩側,一邊承受拉應力、一邊承受壓應力 (D)截面上最大拉伸應力與最大壓縮應力皆爲大小相等
36•冰上花式溜冰選手在表演快速旋轉時 (A)減少空氣阻力,增加轉速 (B)減少轉動慣量,相同動能下,轉速增加 (C)肌肉收縮可增加施力,加速旋轉 (D)保護胸部器官,以防高速摔倒受傷
37•功率1 hp與1 kW,兩者之關係爲: (A)1 kW較大 (B)1 hp較大 (C)兩者一樣大 (D)兩者為不同物理量,無法比較
38.脆性材料之圓軸(如粉筆、鑄鐡等),承受扭轉時,其破斷面與軸線呈多少角度? (A)0° (B)30° (C)45° (D)90° .
39•在沒有空氣阻力之情形下,一球白10m高之屋頂白由落下,苦球與地面問之恢復係數(coefficient of restitution)爲0.9,則其最大之反跳高度爲: (A) 10m (B) 9m (C) 8.lm (D) 4.5m
40_下列有關直徑d之實心圓柱的應力計算何者錯誤? (A)軸向力 F,σ=4F/πd
2
(B)扭矩 T,τ
max
=32T/ πd
3
(C)彎矩 M,σ
max
=32T/ πd
3
(D)剪力 V,τ
av
=4V/ 7πd
2
申論題 (0)
相關試卷
114年 - 114 專技高考_機械工程技師:工程力學(包括靜力學、動力學與材料力學)#133710
114年 · #133710
114年 - 114 公務升官等考試_薦任_機械工程:工程力學(包括靜力學、動力學與材料力學)#133242
114年 · #133242
114年 - 114 專技高考_專利師(選試專業英文及工程力學)、專利師(選試專業日文及工程力學):工程力學#130105
114年 · #130105
114年 - 114 關務特種考試_三等_機械工程(選試英文):工程力學(包括靜力學、動力學與材料力學)#126623
114年 · #126623
113年 - 113 臺灣菸酒股份有限公司_從業評價職位人員試題_鍋爐:工程力學#132351
113年 · #132351
113年 - 113 專技高考_機械工程技師:工程力學(包括靜力學、動力學與材料力學)#123897
113年 · #123897
113年 - 113 專技高考_造船工程技師:工程力學(包括靜力學、動力學與材料力學)#123895
113年 · #123895
113年 - 113 專技高考_專利師(選試專業英文及工程力學)、專利師(選試專業日文及工程力學):工程力學#122211
113年 · #122211
113年 - 113 關務特種考試_三等_機械工程(選試英文):工程力學(包括靜力學、動力學與材料力學)#119496
113年 · #119496
113年 - 113 臺灣港務股份有限公司_新進從業人員甄試_師級_機械:工程力學(包括靜力電、動力學與材料力學)#118827
113年 · #118827