政德高中英文測驗分為兩部分,包括聽力測驗及紙筆測驗,兩分數加總後為英文總成績,試問,在聽力測驗及紙筆測驗正相關的情形下,聽力測驗的變異數(S2x)與紙筆測驗的變異數(S2y)的總和,會比加總後總成績的變異數(S2x+y)?
(A) 大
(B) 小
(C) 相等
(D) 都有可能
答案:登入後查看
統計: A(3227), B(7115), C(2153), D(827), E(0) #425440
統計: A(3227), B(7115), C(2153), D(827), E(0) #425440
詳解 (共 10 筆)
#667262
我是用(a+b)2=a2+2ab+b2去想
題目說兩測驗相關為正
(Sx+Sy)2一定大於Sx2+Sy2
372
12
#667926

補充 -1<r<1
r正相關 S(2x+y)>S2x+S2y
r零相關 S(2x+y)=S2x+S2y
r負相關 S(2x+y)<S2x+S2y
98
0
#667590
其實選擇題用例子去看大約就可看出
假設聽力分數 1,3,5,7,平均數 4, 紙筆分數 2,4,6,8 平均數5
S2x=5 , S2y=5 ,S2x+S2y=10
總分變為 3,7,11,15 平均 9
S(2x+y)=20 所以S(2x+y)>S2x+S2y
75
0
#1323682
解說:題意說聽力測驗及紙筆測驗,兩分數加總後為英文總成績 假設聽力測驗分數為:甲生40、乙生50、丙生60 紙筆測驗分數為:甲生70、乙生80、丙生90
聽力測驗平均數為50分
變異數為(60-50)平方+(50-50)平方+(40-550平方)/3=200/3
紙筆測驗平均數為80分
變異數為(90-80)平方+(80-80)平方+(70-80)平方/3=200/3
所以
第一個問題:聽力測驗的變異數與紙筆測驗的變異數的總和為200/3 + 200/3 = 400/3
第二個問題:加總後 甲生:110分 乙生:130分 丙生:150分
平均數為130
加總後總成績變異數為:
(150-130)平方+(130-130)平方+(110-130)平方/3 = 800/3
400/3 < 800/3 得解。
有錯誤請大家多指教^^
聽力測驗平均數為50分
變異數為(60-50)平方+(50-50)平方+(40-550平方)/3=200/3
紙筆測驗平均數為80分
變異數為(90-80)平方+(80-80)平方+(70-80)平方/3=200/3
所以
第一個問題:聽力測驗的變異數與紙筆測驗的變異數的總和為200/3 + 200/3 = 400/3
第二個問題:加總後 甲生:110分 乙生:130分 丙生:150分
平均數為130
加總後總成績變異數為:
(150-130)平方+(130-130)平方+(110-130)平方/3 = 800/3
400/3 < 800/3 得解。
有錯誤請大家多指教^^
65
0
#667394
我在想會不會是
變異數是離散程度,加上題目說分數兩者有正相關,所以總和後落差變更大(高分+高分=超高;低+低=超低)
造成分數往兩邊跑,離散程度更大
48
0
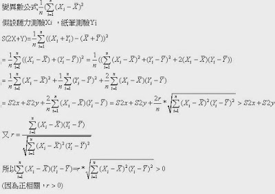
#668275
和的變異數:
S(2x+y)=S2x+2rSxSy+S2y
=S2x+2Cxy+S2y
因為相關(r)為正,所以共變數部分為正。
加總後會變得比較大。
S(2x+y)=S2x+2rSxSy+S2y
=S2x+2Cxy+S2y
因為相關(r)為正,所以共變數部分為正。
加總後會變得比較大。
39
1
#2746504
(A+B)2=A2+AB+B2 > A2+B2
30
0
#3976639
r正相關 Sx+y2> Sx2+Sy2
r零相關 Sx+y2= Sx2+Sy2
r負相關 Sx+y2< Sx2+Sy2
24
0
#674159
我的想法是:為什麼需要加總後再取變異數?是要讓分數落差更大嗎?所以加總後再取的變異數應該要比較大.
18
0