阿摩線上測驗
登入
首頁
>
高中指考◆數學甲
>
107年 - 107 大學入學考試中心_指定科目考試:數學甲#98887
> 試題詳解
複選題
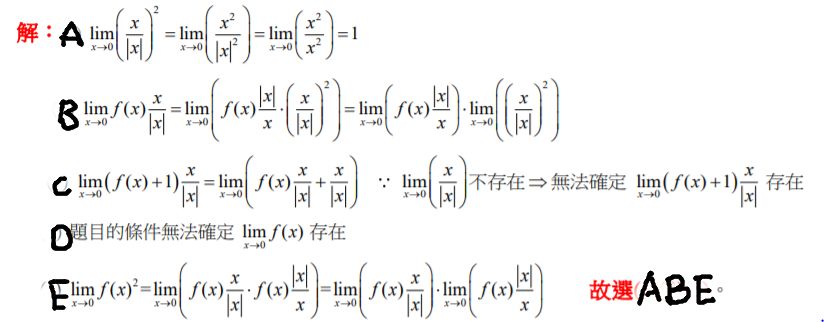
8. 設 f ( x ) 為一定義在非零實數上的實數值函數。已知極限
存在,試選出正確的選項。
(A)
存 在
(B)
存 在
(C)
存 在
(D)
存 在
(E)
→ 存 在
答案:
登入後查看
統計:
A(9), B(7), C(6), D(7), E(8) #2709649
詳解 (共 1 筆)
李文雄
B1 · 2021/06/22
#4825627
0
0
私人筆記 (共 1 筆)
Terry Tung
2023/06/20
私人筆記#5226908
未解鎖
(共 0 字,隱藏中)
前往觀看
1
0
相關試題
1. 設 A為 3×3矩 陣,且 對 任 意 實 數 a,b,c,均 成 立。試 問 矩 陣 為何? (A) (B) (C)(D) (E)
#2709642
2. 坐標平面上,考慮 A(2,3) 與 B( −1,3) ,並設 O 為原點。令 E 為滿足的所有點 P 所形成的區域,其中 − 1 ≤ a ≤1, 0 ≤ b≤4 。考慮函數f(x)=x2+ 5,試問當限定 x為區域 E 中的點 P(x ,y ) 的橫坐標時, f (x ) 的最大值為 何 ? (A) 5 (B) 9 (C) 30 (D) 41 (E) 54
#2709643
3. 某 零 售 商 店 販 賣「 熊 大 」與「 皮 卡 丘 」兩 種 玩 偶,其 進 貨 來 源 有 A , B, C 三家廠 商。已知此零售商店從每家廠商進貨的玩偶總數相同,且三家廠商製作的每 一種玩偶外觀也一樣,而從 A, B, C 這三家廠商進貨的玩偶中,「皮卡丘」所占 的比例分別為。阿德從這家零售商店隨機挑選一隻「皮卡丘」送給 小安作為生日禮物,試問此「皮卡丘」出自 C 廠商的機率為何? (A) (B) (C) (D)(E)
#2709644
複選題4. 設f (x)=-x2+499 , 且 試選出正確的選項。 (A) A表示在坐標平面上函數y=- x2+499的圖形與直線 y = 0、 x = 0 、 x =10 所 圍成的有界區域的面積 (B) B < C (C) B <A (D) C< D (E) A< D
#2709645
複選題5. 坐標平面上,已知直線 L與函數 y = log2 x 的圖形有兩個交點 P( a,b ),Q ( c,d ), 且 的中點在 x軸上。試選出正確的選項。 (A) L的斜率大於 0 (B) bd = −1 (C) ac =1 (D) L的 y 截距大於 −1 (E) L的 x截距大於 1
#2709646
複選題6. 坐標空間中,有 四個向量,滿足外積 的向量長度均為 4。 設向量的夾角為 θ (其中 0 ≤ θ ≤ π ),試選出正確的選項。 (A) (B)所張出的平行六面體的體積為 16 (C) 兩兩互相垂直 (D) 的長度等於 4 (E) 的夾角等於 θ
#2709647
複選題7. 設 O 為 複 數 平 面 上 的 原 點,並 令 點 A, B 分別代表複數 z1, z2 ,且 滿 足 |z1|= 2, |z2| = 3, ,其中 a , b為實數, 。試選出正確的選項。 (A) (B)(C) a > 0 (D) b > 0 (E) 設 點 C 代 表, 則 ∠BOC 可能等於
#2709648
12. 若以方式一抽獎,則共需付 300 元才能得到一個公仔的機率為何?( 單選題,2 分 )(A)(B)(C)(D)(E)
#3576894
複選題8. 設複數 z 的 虛 部 不 為 0 且 |z| = 2 。已 知 在 複 數 平 面 上,1、z、 z3 共 線。試選出正確 的選項 。 (A) (B)虛 部 為 0 (C) z 的 實 部 為(D) z 滿足 z2-z+4=0 (E) 在複數 平面上 , −2 、 z 、 z2 共線
#3576893
複選題7. 已知 實 係 數 多 項 式 f x( ) 的次數大於 5, 且其最高次項係數為正。又 f(x) 在 x = 1、2、4 處有極小值 , 且 在 x = 3、5 處 有極大值。 根據上述 , 試選出正確的選項 。 (A) f(1)<f(3)(B) 存在實數 a,b滿 足 1<a<b<2, 使得 f'(a)>0 且 f'(b)<0(C) f"(3)>0(D) 存在實數 c>5 ,使得 f'(c)>0(E) f(x) 的次數大於7
#3576892
相關試卷
114年 - 114 大學入學考試中心_分科測驗:數學甲#131150
2025 年 · #131150
113年 - 113 大學入學考試中心_分科測驗:數學甲#123135
2024 年 · #123135
112年 - 112 大學入學考試中心_分科測驗:數學甲#116235
2023 年 · #116235
111年 - 111 大學入學考試中心_分科測驗參考試卷:數學甲#114960
2022 年 · #114960
111年 - 111大學入學考試中心_分科測驗:數學甲#109162
2022 年 · #109162
110年 - 110 大學入學考試中心_指定科目考試:數學甲#100019
2021 年 · #100019
109年 - 109(補考) 大學入學考試中心_指定科目考試:數學甲#89685
2020 年 · #89685
109年 - 109 大學入學考試中心_指定科目考試:數學甲#87866
2020 年 · #87866
108年 - 108 大學入學考試中心_指定科目考試:數學甲#98892
2019 年 · #98892
107年 - 107 大學入學考試中心_指定科目考試:數學甲#98887
2018 年 · #98887