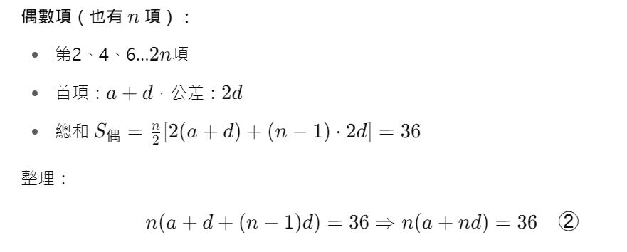
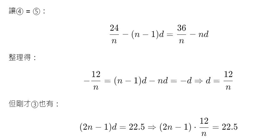
14. 某等差數列共有偶數個項,其所有奇數項目加總為 24,所有偶數項目加總為 36。已知此數列的最後一項比第一項大 22.5,請問這個數 列總共有幾項?
(A) 8
(B) 10
(C) 12
(D) 16
答案:登入後查看
統計: A(52), B(65), C(99), D(113), E(0) #3456040
統計: A(52), B(65), C(99), D(113), E(0) #3456040
詳解 (共 6 筆)
#7289089
國中方式(不套公式解)
因為是等差數列:? 每一個偶數項 = 前一個奇數項 + 一個公差 d
所以我們可以這樣想:
• 第 1 項(奇) + 第 2 項(偶)
• 第 3 項(奇) + 第 4 項(偶)
• ……
把每一組來看:偶數項 − 奇數項 = 公差 d
那全部加起來:偶數項總和 - 奇數項總和= n/2* d
題目給:36 - 24 = 12
所以:n*d=24
再用「首項到末項」的距離
等差數列裡:
• 從第 1 項到第 n項
• 中間一共跨了 n-1 個公差
所以:末項 - 首項= (n-1)d
題目給這個差是 22.5,代入剛剛的 d:
(n-1)d=22.5
再用「首項到末項」的距離
等差數列裡:
• 從第 1 項到第 n項
• 中間一共跨了 n-1 個公差
所以:末項 - 首項= (n-1)d
題目給這個差是 22.5,代入剛剛的 d:
(n-1)d=22.5
乘開:
nd-d=22.5(已知nd=24)
nd-d=22.5(已知nd=24)
則d=1.5
n=16
答案選(D)
14
0
#6479715







備註:
ㅤㅤ
ㅤㅤ
12
1
#7355194

0
0
