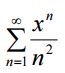
15.
的收斂區間為:
(A) [-1, 1]
(B) [-1, 1)
(C) (-1, 1]
(D) (-1, 1)
答案:登入後查看
統計: A(32), B(26), C(35), D(19), E(0) #871242
統計: A(32), B(26), C(35), D(19), E(0) #871242
詳解 (共 1 筆)
#6447742
的收斂半徑為1,在 (-1,1]級數一定收斂,ㅤㅤ
至於 x=-1,可利用Alternatining Series Test 即可推論出在此點也收斂
ㅤㅤ
因此收歛區間為 [-1,1]
0
0